概念
獨立基腳是一種把建築物的部分重量分布在一片比較大的面積之上,以將單位載荷減小的構造。換句話說,基腳和地面接觸的面積越大,單位面積所受的載荷越小。
獨立基腳的三種類型
獨立基腳通常支持一根柱子,可分為三種不同類型: 垂直薄板式、 斜坡式和 階式。參考圖1。
圖1 獨立基腳如果支撐兩根或兩根以上的柱子,叫做 複式基腳。複式基腳中的柱腳,如果和縱向的肋牆所結合起來,則這種基腳被稱為 肋式基腳,參考圖2。
圖2 獨立基腳形狀
獨立基腳通常使用方形或矩形,常觀柱之形狀而定。此種基腳最簡單的型式,是由一單板組成,如圖3(a),若板厚在80公分以下時,最為經濟。圖3(b)為階式基腳,易於傳遞載重並能加強其隙縫強度,多使用於大型基腳。圖3(c)為斜坡基腳,須使用人工修飾故經濟性較差。
圖3 基腳受力分析
圖4
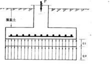
獨立基腳
獨立基腳 基腳底面所承受之應力分為兩部分,一為由柱載重作用下所產生之向上壓力,稱為 淨向上壓力,如圖4之。一為由基腳自重及基腳蓋蓋土重作用下所產生之 向上土壓力,如圖4之部分。因基腳之自重所產生向上土壓力,與基腳自重反向而相等互相抵消,故實際作用於基腳之作用力,僅淨向上壓力而已。於是基腳之大小可由此淨向上壓力,除以土壤容許承載力而得,由下式式得 :
獨立基腳 基腳剪力強度
圖5 獨立基腳之柱體均在基腳之正中央,其作用力向兩方向伸展,對柱體而言基腳在兩方向上形同懸臂板。因此,由於基腳底部兩方向向上之壓力作用,產生拉應力與剪力。此拉應力所產生之撓曲應力必須由鋼筋承受,剪力則由混凝土承受。於是鋼筋之設計須依兩向之彎矩大小而定,持兩層互相垂直並平行於基腳邊的配置方式。而基腳之厚基腳度則由剪力所控制,若基腳之厚度足以抵抗剪力破壞,即可不必使用剪力鋼筋,若基腳厚度受限制時應使用剪力鋼筋。
當柱體將全部載重傳遞於基腳上時,柱腳所產生之集中壓應力,形成擴散狀態伸入基腳中,如圖5(a)是靠近柱腳之混凝土,除受剪力作用外在其垂直方向亦有斜拉力。因而基腳之破壞形成一個錐體,此錐體向外之傾斜角約為45°,其擴張範圍約距柱腳四周各d/2處,如圖5(b)。此時臨界面積abcd上之穿透剪力強度為:
獨立基腳 上項穿透剪力強度系由柱腳之垂直壓縮力,與基腳中兩軸向別矩所產生之水平壓力所組成的三軸向力,對於混凝土之剪力強度顯著提高,因此此項剪力遠大於梁的單向剪力強度。且柱腳四周延伸剖面上之剪力強度為:
獨立基腳
獨立基腳
獨立基腳 上式之為abcd之周長,即柱之長短邊之比。而圖5(c)之不規則剖面,其a及b如圖所示。
基腳亦如梁和單向板,在距離柱腳d處發生剪力破壞,所以在距離柱腳d處,即圖5(b)ef線上之剪力強度,為梁或單向板的剪力強度:
獨立基腳
獨立基腳
獨立基腳 上式之b系指距離d處之基腳寬度即等ef之長。為efgh面積上之剖面總剪力。為ef線上之彎矩。
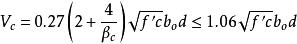
但通常所使用的剪力強度較為保守,我國建築技術規則構造篇第436條規定為:
獨立基腳 工作應力法則使用:
獨立基腳 以剪力計算基腳的厚度的時候,可使用 :
獨立基腳 基腳彎曲強度
圖6 通過整個基腳任一垂直剖面上之彎矩,為其任一側基腳面積上作用力所產生之彎矩。獨立基腳之最大彎矩,在柱腳面之一線上,如圖6。承載圬工牆或鋼筋混凝土牆基腳,其最大別彎矩發生於牆中心線與牆面之中點處,如圖8。
圖7 於是,由圖6,得矩形基腳長向cd線,即由abcd面所產生之最大彎矩為:
獨立基腳 矩向由ebfg面積所產生之最大彎矩,作用於ef線者為:
獨立基腳
獨立基腳
獨立基腳
獨立基腳 依建築技術規則第464條之規定,矩形雙向獨立基腳,其長向鋼筋須均勻分布於基腳之全寬,矩向鋼筋總數量之倍,須以柱或柱中心線為中心,其寬度各等於轉基腳短向寬度之範圍內均勻放置。其餘鋼筋則均勻分置於兩側。其中即長邊與短邊之比,正方形柱基腳。
圖8 
