簡介
全體調和函式的總體,是拉普拉斯方程
狄利克雷問題的所有解的總體,這方程是最簡單的二階偏微分方程之一.類似於常微分方程情形,為了可以區分出一個確定的解而給出了附加的條件.完全一樣,為了要完全確定拉普拉斯方程的一個解,也需要一些附加的條件.對於拉普拉斯方程的這些條件,通常表述成稱之謂邊值條件的形狀,即,表述成所求解在區域的邊界上所應當滿足的一些給定關係式的形狀.這樣的邊值條件,可以由所給問題的解的那些物理條件本身,自然地得到。
這類條件中最簡單的那一種,歸結為在區域的邊界的每一點上給定所求的調和函式的值。由此,產生了所謂第一邊值問題,或者,狄利克雷問題:
狄利克雷問題求出一個在區域D內調和並且在內連續的函式u(z),使它在D的邊界上取已經給定的連續值u(ξ)。
舉例
例如,在某一區域內求熱場的溫度或靜電場的勢能,當在這區域的邊界上的溫度或勢能已經知道時,便可化為狄利克雷問題。
在套用中,邊界值u(ξ)是連續的這個條件,是限制過嚴了,所以需要考慮廣義狄利克雷問題:
設已經在區域D的邊界C上給出了一個函式u(ξ),它出了在有限多個點ξ1,ξ2,…,ξn處有第一類間斷點外,是處處連續的。要求找出一個在區域D內的有界調和函式u(z),使它在函式u(ξ)的所有連續點處都取值u(ξ)**。
橢圓型方程的狄利克雷問題
狄利克雷問題
狄利克雷問題
狄利克雷問題
狄利克雷問題
狄利克雷問題求二階橢圓型方程在區域邊界上的值為已知的解。設區域的邊界為。求在上連續、在內滿足給定的橢圓型方程、在上取給定的連續邊界值的解的問題,稱為橢圓型方程的狄利克雷問題。
狄利克雷問題特別地,對有界區域,如果邊界點都是正則點(參見“閘函式”),調和方程△u=0的狄利克雷問題的解存在且位移。
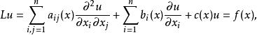
對於一般的強橢圓型方程
狄利克雷問題
狄利克雷問題
狄利克雷問題
狄利克雷問題
狄利克雷問題
狄利克雷問題
狄利克雷問題
狄利克雷問題如果c(x)≤0,f 及 L 的係數有界並屬於C (Ω)。假設有界的每一邊界點上滿足外部球條件;即對每一點,存在一個球B=B(y)滿足。如果φ在上連續,那么狄利克雷問題:在中Lu=f,在上u=φ就有惟一解。

