基本介紹
約翰·彼得·古斯塔夫·勒熱納·狄利克雷(Johann Peter Gustav Lejeune Dirichlet,勒熱納·狄利克雷是姓,1805年2月13日-1859年5月5日),德國數學家。他是解析數論的奠基者,也是現代函式概念的定義者。
狄利克雷16歲通過中學畢業考試後,父母希望他攻讀法律,但他已選定數學為其終身職業。當時的德國數學界,除高斯一人名噪歐洲外,普遍水平較低;又因高斯不喜好教學,於是狄利克雷決定到數學中心巴黎上大學,那裡有一批燦如明星的數學家,諸如P.S.拉普拉斯(Laplace)、A.勒讓德(Legendre)、J.傅立葉(Fourier)、S.泊松(Poisson)、S.拉克魯瓦(Lacroix)、J.B.比奧(Biot)等等。
1822年5月,狄利克雷到達巴黎,選定在法蘭西學院和巴黎理學院攻讀;其間因患輕度天花影響了聽課,幸好時間不長。1823年夏,他被選中擔任M.法伊(Fay)將軍的孩子們的家庭教師。法伊是拿破崙時代的英雄,時任國民議會反對派的領袖。狄利克雷擔任此職,不僅收入頗豐,而且受到視如家人的善待,還結識了許多法國知識界的名流。其中,他對數學家傅立葉尤為尊敬,受其在三角級數和數學物理方面工作的影響頗深。另一方面,狄利克雷從未放棄對高斯1801年出版的數論名著《算術研究》(Dispui-sitiones arithmeticae)的鑽研。據傳他即使在旅途中也總是隨身攜帶此書,形影不離。當時還沒有其他數學家能完全理解高斯的這部書,狄利克雷是第一位真正掌握其精髓的人。可以說,高斯和傅立葉是對狄利克雷學術研究影響最大的兩位數學前輩。
1825年,狄利克雷向法國科學院提交他的第一篇數學論文,題為“某些五次不定方程的不可解”(Mémoire sur L'impossibilite de quelques équations indéterminées du cinquieme degré)。他利用代數數論方法討論形如x5+y5=A·z5的方程。幾周后,勒讓德利用該文中的方法證明了
當n=5時無整數解;狄利克雷本人不久也獨立證明出同一結論。(後來狄利克雷再次研究費馬大定理時,證明n=14時該方程無整數解。)
發展歷史
由於狄利克雷的積分是從下面界定的,所以保證了最小的存在。 這個最終的實現是由黎曼(創造了狄利克雷的原則)和其他人所理解的,直到Weierstrass給出了一個功能達不到最小值的例子。希爾伯特後來證明了黎曼利用狄里克雷的原則。
狄利克雷原理最早出現在英國數學家格林關於位勢理論的著作中,稍後又為高斯和狄利克雷獨立提出。狄利克雷在一次講演中,對函式本身及其諸偏導數都連續的函式類的狄利克雷原理,給出十分確切和完全的敘述,並在1876年由他的一個學生髮表。黎曼首先以狄利克雷的名字命名這一原理並套用於複變函數,從而使其得到廣泛的關注。然而狄利克雷給出的證明是不完善的。1870年,外爾斯特拉斯以其特有的嚴格化精神批評了狄利克雷原理在邏輯上的缺陷。他指出:連續函式的下界存在且可達到,但此性質不能隨意推廣到自變數本身為函式的情形,即在給定邊界條件下使積分極小化的函式未必存在。他的非議迫使數學家們放棄狄利克雷原理,但事實上數學物理中的許多結果都依賴於此原理而建立。
在19世紀末20世紀初,希爾伯特採取完全不同的思路來處理這一難題。他通過邊界條件的光滑化來保證極小函式的存在,從而恢復了狄利克雷原理的功效。他的工作不僅“挽救”了有廣泛套用價值的狄利克雷原理,也豐富了變分法的經典理論。
狄利克雷原理的進一步發展由原蘇聯數學家索伯列夫完成,他對於多重調和方程,包括區域的邊界由不同維數流形組成的情形進行了敘述,並證明了狄利克雷原理的正確性。
公式表述
狄利克雷原理是指將拉普拉斯方程狄利克雷問題化為變分問題的方法。使:
狄利克雷原理
狄利克雷原理
狄利克雷原理
狄利克雷原理
狄利克雷原理在函式類在上,中達到極小的極值函式就是拉普拉斯方程狄利克雷問題:
狄利克雷原理
狄利克雷原理的解。因此,求解拉普拉斯方程狄利克雷問題可化成變分問題,這就是狄利克雷原理。積分D(u)稱為狄利克雷積分。
狄利克雷原理
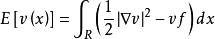
狄利克雷原理狄利克雷原理告訴我們,如果函式u(x)是泊松方程在定義域R上滿足邊界條件:的解,那么u是狄利克雷能量的最小值:
狄利克雷原理在v中,v = g在的所有兩個可微分的函式中(前提是至少存在一個使Dirichlet積分有限的函式)。這個概念以德國數學家彼得·古斯塔夫·勒傑(Dijichlet)命名。
抽屜原理
抽屜原理又叫鴿籠原理,它是組合數學中判斷存在性的一個重要原理。抽屜原理最先由德國數學家狄利克雷運用於解決數學問題,所以也稱之為狄利克雷原理。抽屜原理的表述雖然比較簡單,很容易理解,但因其變化多,套用廣,常常被用於解答各級數學競賽題。利用抽屜原理,可以作出許多有趣的推理和判斷。
抽屜原理的表述:
抽屜原理I:把n+1個蘋果放到n個抽屜里,則至少有一個抽屜中有2個或2個以上的蘋果。
抽屜原理II:把mxn+r個蘋果放到n個抽屜里,則至少有一個抽屜中有不少於m+l個蘋果。
當m=l、r=l時抽屜原理II就變為抽屜原理I,因此抽屜原理I是抽屜原理II的特例。
抽屜原理的特點是物體多、抽屜少,而物體個數比抽屜個數多1是利用抽屜原理解題時最常見的情況。抽屜原理用反證法很容易給出證明。
在解決實際問題時,經常利用抽屜原理的另一種提法來探索數量關係。
變形I:在n個抽屜中放入k個蘋果,要至少在一個抽屜中有不少於2個蘋果,則k的最小值是n+l,即至少需n+l個蘋果。
狄利克雷原理
狄利克雷原理變形II:在n個抽屜中放入k個蘋果,要至少在一個抽屜中有不少於m+l個蘋果,則k的最小值是mx:,+l,即至少需個蘋果。
