介紹
數學中,經典 狄利克雷問題(Dirichlet problem)是尋找一個函式,使其為給定區域內一個指定的偏微分方程(PDE)的解,且在邊界上取預定值。
對許多偏微分方程,狄利克雷問題都可解,但最初是對拉普拉斯方程提出來的。在這種情形下問題可如下表述:
給定定義在 R中一個區域的邊界上一個函式 f,是否存在惟一連續函式 u在內部兩次連續可微,在邊界上連續,使得 u在內部調和並在邊界上 u= f?
這個條件稱為狄利克雷邊界條件。最主要的問題是證明解的存在性,因惟一性可利用Maximum principle證明。
歷史
經典狄利克雷問題以勒熱納·狄利克雷命名,他利用變分方法提出了一個解決辦法,這便是狄利克雷原理。唯一解的存在性由物理分析似乎很有理:邊界上任何電荷分布,由靜電學定律,將確定一個電勢做為一個解。
但魏爾斯特拉斯發現了狄利克雷證明的一個漏洞,存在性嚴格的證明直到1900才由希爾伯特給出。結論是解的存在性微妙地依賴於邊界與預定值的光滑性。
一般解
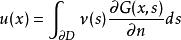
經典狄利克雷問題對具有足夠光滑邊界 一個區域D,狄利克雷問題的一般解由
經典狄利克雷問題給出,這裡G(x,y)是這個偏微分方程的格林函式,而
經典狄利克雷問題
經典狄利克雷問題
經典狄利克雷問題是格林函式沿著內單位法向 的導數。在邊界上對測度ds進行積分。函式 由第二類弗里德霍姆積分方程的惟一解給出
經典狄利克雷問題上一個積分中的格林函式在邊界上為零:
經典狄利克雷問題
經典狄利克雷問題G(x,s)=0對與。
這樣的格林函式通常是自由域格林函式與一個微分方程的調和解之和。
存在性
調和函式的狄利克雷問題總有解,當邊界足夠光滑且f(s)連續則解是惟一的。更準確地說,當
經典狄利克雷問題
經典狄利克雷問題
經典狄利克雷問題對時有解。這裡表示赫爾德條件。
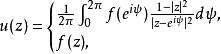
例子:二維單位圓盤
在一些簡單情形狄利克雷問題可以明確地解出來。例如對 R中單位圓盤的狄利克雷問題的解由泊松積分公式給出。
經典狄利克雷問題如果f是單位圓盤 D的邊界上一個連續函式,則狄利克雷問題的解u(z)由積分給出:
經典狄利克雷問題
經典狄利克雷問題
經典狄利克雷問題如果為上式,如果,為下式。
經典狄利克雷問題解u在閉單位圓盤上連續在D內調和。
被積函式稱為泊松核;這個解由二維格林函式導出:
經典狄利克雷問題
經典狄利克雷問題這裡調和
經典狄利克雷問題
經典狄利克雷問題並使得對有G(z,x)=0。
推廣
狄利克雷問題是典型的橢圓型微分方程、位勢論和拉普拉斯方程。其他例子包括雙調和方程以及彈性理論中相關方程。
狄利克雷問題是在邊界上給出信息的偏微分方程問題中一類,其他類型包括諾伊曼問題和柯西問題。
