概述
以偏微分方程的特徵理論為基礎,求解雙曲型偏微分方程的一種近似計算方法。如問題比較簡單,用這種方法可求出分析解或近似的分析解;如問題複雜,也可求得準確度很高的數值解。此外,特徵線法還可用來對雙曲型問題作定性分析,尤其是可用來研究怎樣給出初始條件和邊界條件使問題適定。這對設計求解雙曲型微分方程的其他類型的數值方法有指導意義。特徵線法早在19世紀末就已出現,20世紀30~40年代用手算就已解決不少問題。電子計算機出現後,此方法更趨完善,並得到廣泛套用。
物理意義
圖1 淺水波的特徵線
圖2 子彈以超聲速穿過空氣時的激波和特徵線
特徵線法特徵線雖是一個抽象的數學概念,但其物理意義在某些問題中很清楚。如圖1所示的定常二維淺水波,肉眼就可看到特徵線。圖1a表示水流從傾斜的平面上以流速v下瀉。水流中有一個多稜角的小石子,每個稜角對水流的小擾動,都表現為一條波紋(圖1b)。當平均流速v超過
(g為重力加速度,h為水的平均厚度),水波便不逆流向上傳播而被水流帶向下游,即石子不影響圖1b中a、b、c左邊的水流。受某點發出的小擾動影響的區域和不受影響的區域的界線實際上就是特徵線,這種特徵線是肉眼能看見的。在一般情況下,特徵線是肉眼看不見的。例如,表面有條紋的子彈以超聲速穿過空氣,條紋引起的特徵線(圖2)只有藉助儀器才能觀測到。氣體的一維不定常運動可用下述基本方程描述:
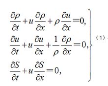
特徵線法
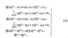
特徵線法式中u為質點速度;ρ為密度;p為壓力;S為熵;x為坐標;t為時間。為求解(1)還要引進聲速c和狀態方程c=c(p,S),ρ=ρ(ρ,S)。式(1)是具有兩個自變數和三個未知函式的雙曲型方程組。它是非線性的。現以解此方程組來說明特徵線法的要點。通過變換可將(1)轉換成等價的方程組(2),(2)的每個方程只包含沿某個方向的微商。這樣的方向就是“特徵方向”。(1)的第三式是沿著方向dx=udt的微商,因此,dx=udt就是一個特徵方向。
則是相應的沿此方向的特徵關係式。(1)的第一、二兩個方程經簡單變換後可得:
特徵線法
特徵線法(2)中兩式分別只有沿方向dx=(u+c)dt和dx=(u-c)dt的微商。因此,dx=(u±c)dt就是(1)的另兩個特徵方向。
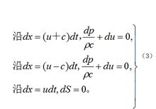
則是沿這兩個方向的“特徵關係式”。在(x,t)平面上,由特徵方向所確定的相應的曲線是(1)的特徵線。概括(1)的三個特徵方向和相應的特徵關係式,就得到和(1)等價的常微分方程組:
特徵線法特徵線法正是通過上述的變換,將求解偏微分方程組(1)的問題化成求解簡單得多的常微分方程組(3)的問題。
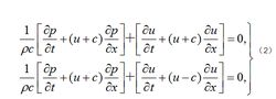
考慮(x,t)平面上兩個充分接近的點Q和Q(圖3),設這兩點的u,p,ρ,S,c都已知,把過Q點的特徵線dx=(u+c)dt與過Q點的特徵線dx=(u-c)dt的交點記作Q。再從Q向時間小的方向作特徵線QQ即dx/dt-u,u的值暫用Q,兩點u的平均值。QQ同QQ的交點為Q。在Q…Q這些點上,所有各量(u,p,ρ,c,S,x,t)都用相應的記號表示。為了求Q點的x,t,u,p,S,然後用狀態方程求出ρ,c,可將方程(3)近似地表示為:
特徵線法
圖3 x-t平面上的特徵線-由Q1,Q2求Q3
特徵線法(4)中的
可以靠Q和Q兩點的熵值用內插法求得。從(4)可以求出Q點的近似位置
及其上的值
,
,
。以上的做法只相當於用曲線上一點的切線代替切點附近的曲線,因此數值計算中稱作一級近似(又稱初算)。根據一級近似的結果再算一次(又稱重算),就得到準得多的二級近似解。作法是用Q3點的一級近似值
,
,
與Q點的已知值u,c,ρ平均,以代替式(4)中的(u+c),ρc。這相當於用割線代替曲線。當然理論上與實際上都更準。同樣用Q點初算值與Q點已知值的平均值代替式(4)中的u-c及ρc。當然Q的位置和S也要重新算。這樣得出的x,t,u,p,ρ,c,S,就是用特徵線法求Q點各量的相當好的數值結果。
特徵線法如果在一條與特徵線不相切且同t軸方向接近的曲線段MN上給定初值(圖4),則用上法可求出在過M點的特徵線
和過N點的特徵線
所圍成的區域MNP內各特徵線交點的近似位置和相應的未知函式值。
圖4 x-t平面上的特徵線格線上面敘述了求解(1)的最簡單而本質的情況。對於兩個自變數和n個未知函式的n個特徵方向都不相同的一般狹義雙曲型方程組,則需找出n個特徵方向和相應的n個特徵關係式,並用與上述類似的方法來求解。至於求解三個自變數的方程組可推廣特徵線方法,但都很繁,而且還有一些尚待解決的問題。故未廣泛套用。更常用的是差分方法。
參考書目
R. Courant and K. O. Friedrichs,Supersonic Flow and Waves,Interscience Pub., London,1956.

