簡介
利用材料塑性變形過程中最大剪應力跡線的性質,求解塑性力學邊值問題的一種方法,主要用於求解剛塑性材料的平面應變問題。
滑移線
基本介紹
材料在屈服時,試樣表面出現的線紋稱為滑移線,與最大切應力的跡線重合,所以最大切應力跡線又稱滑移線。
滑移線理論是二十世紀20年代至40年代間,人們對金屬塑性變形過程中,光滑試樣表面出現 "滑移帶"現象經過力學分析,而逐步形成的一種圖形繪製與數值計算相結合的求解平麵塑性流動問題變形力學問題的理論方法。這裡所謂"滑移線"是一個純力學概念,它是塑性變形區內,最大剪下應力等於材料屈服切應力(k)的軌跡線。
文獻解釋
1、2節點相對位置判斷構件接觸碰撞點的軌跡稱為滑移線.主節點所在的一側稱為主線主線上相鄰節點之間的線段稱為主段。
2、在塑性狀態平面應變問題中,平面上每一點都存在兩個相交的剪下破壞面,把各點的剪下破壞面連線起來,就可以得到兩族相互正交曲線α和β,即稱為滑移線。滑移線法按照其性質和邊界條件,求出塑性區的應力和位移速度的分布,最後求出極限荷載。
3、滑移帶晶體材料的滑移面與晶體表面的交線稱為滑移線,滑移部分的晶體與晶體表面形成的台階稱為滑移台階。由這些數目不等的滑移線或滑移台階組成的條帶稱為滑移帶。
4、塑膠變形體內各點最大切應力的軌跡稱為滑移線。由於最大剪應力成對正交因此滑移線在變形體內成兩族互相正交的線網組成所謂滑移線場。這樣的兩組曲線在X、Y平面上形成一個曲線網稱為滑移線。當物體處於屈服狀態時,各點的最大切應力達到K值,塑性變形就沿著這些曲線進行滑移。
滑移線法
利用材料塑性變形過程中最大切應力跡線的性質,求解塑性力學邊值問題的一種方法,主要用於求解剛塑性材料的平面應變問題。金屬材料的塑性變形是金屬顆粒在最大切應力方向的相對滑移引起的,滑移的結果形成滑移帶,它和最大剪應力跡線是重合的,所以最大切應力跡線又稱滑移線。塑性變形體內的滑移線場是兩族正交的曲線:一族稱為 α線,另一族稱為 β線。圖1示出受內壓的圓孔周圍的滑移線場, α線和 β線分別由不同顏色標出。
滑移線法要點
它避開非線性的塑性本構關係,而利用塑性變形過程中的特點,將問題轉化為建立滑移線場,然後再由滑移線的性質找出應力分布規律。在剛塑性材料的平面應變問題中,平均正應力σ為兩個正應力、之和的一半,而且最大剪應力的值等於剪下屈服極限k,k為常數。因此,只要找出平均正應力σ,便可由σ和k利用微元體的平衡條件,確立正應力分量、和剪應力分量。
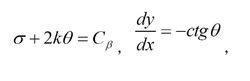
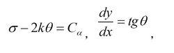
在滑移線法中,通常假設材料是理想剛塑性材料,而且體積不可壓縮。以 θ表示 α族滑移線與 x軸正向的夾角,則反映平均正應力 σ和 θ角之間關係的公式為:
沿 α線
滑移線法沿 β線
滑移線法
滑移線法
滑移線法式中沿每一條線為一常數;沿每一條線為一常數。同族內不同滑移線的常數可以不同。上式是德國的H.亨奇於1923年利用塑性平面問題的平衡方程和屈服條件導出的,故稱亨奇應力方程。
性質
從亨奇應力方程可以推出滑移線的如下性質:①滑移線上平均正應力的變化和滑移線的轉角成正比;②在任何兩條同族滑移線間,平均正應力σ和角θ沿另族滑移線的變化都是常值;③如果滑移線的某些線段是直線、則直線上的σ、θ以及應力分量、、都是常值;④如果沿某一滑移線移動,則另一族滑移線在交點處曲率半徑的變化等於沿該線所通過的距離;⑤位於兩條同族滑移線間的直線滑移線段的長度相等。
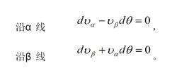
滑移線場是通過平衡方程和屈服條件建立的,因而這樣求出的、、是滿足平衡條件的靜力解。為了找到完全解,還要在滑移線場中找出滿足位移速度(簡稱速度)邊界條件的速度規律。H.蓋林格於1930年根據剛塑性的本構關係和材料的不可壓縮條件證明,速度方程的特徵線和滑移線是重合的。如以和分別表示質點沿α族和β族滑移線的位移速度,則速度方程式為:
滑移線法因此,用滑移線法不僅能計算塑性變形體內任一點的應力分量,而且也能計算速度分量,從而得到問題的完全解 。
解題的步驟
滑移線法
滑移線法
滑移線法
滑移線法
滑移線法①根據邊界上的受力條件,確定邊界上的σ和θ值,進而確定邊界及兩個不同塑性區域的交界線附近的滑移線場;②按亨奇應力方程找出塑性區內任一點的σ和θ值,進而找出任一點的、和;③根據速度邊界條件按速度方程求出和從而找出塑性變形的規律。
滑移線法
滑移線法
滑移線法
滑移線法在剛塑性的平面應變問題中,經常遇到應力間斷和速度間斷問題。在剛塑性體形成塑性區的過程中,受拉區和受壓區的交界線便是應力間斷線(圖2),它是兩條同一名稱滑移線(圖2中和或和為同一名稱的滑移線)的角平分線。當外載荷達到某極限值後,剛塑性物體在塑性區開始產生塑性流動,而在剛性區則沒有變形,剛性區和塑性區的分界線就是一條速度間斷線。它是滑移線或者是滑移線的包絡線。速度沿速度間斷線的切線分量發生間斷,速度間斷量沿速度間斷線不變,而在該線上應力則保持連續;但垂直於速度間斷線的速度分量連續。在塑性區內部同樣可以有速度間斷線。
滑移線法在平面應力和軸對稱問題中,也有相應的滑移線場理論。滑移線法已被廣泛套用於構件的極限設計、金屬塑性成型以及土力學。近來還有些學者研究了考慮強化效應的滑移線場問題。計算機也已被用於求解滑移線場的問題。

