破壞形式
材料在外力作用下有兩種不同的破壞形式:一是在不發生顯著塑性變形時的突然斷裂,稱為脆性破壞;二是因發生顯著塑性變形而不能繼續承載的破壞,稱為塑性破壞。破壞的原因十分複雜。對於單向應力狀態,由於可直接作拉伸或壓縮試驗,通常就用破壞載荷除以試樣的橫截面積而得到的極限應力(強度極限或屈服極限,見材料的力學性能)作為判斷材料破壞的標準。但在二向應力狀態下, 材料內破壞點處的主應力σ、σ不為零;在三向應力狀態的一般情況下,三個主應力σ、σ和σ均不為零。不為零的應力分量有不同比例的無窮多個組合,不能用實驗逐個確定。由於工程上的需要,兩百多年來,人們對材料破壞的原因,提出了各種不同的假說。但這些假說都只能被某些破壞試驗所證實,而不能解釋所有材料的破壞現象。這些假說統稱強度理論。
常用理論
有以下幾種:
第一強度理論
第一強度理論又稱為最大拉應力理論,其表述是材料發生斷裂是由最大拉應力引起,即最大拉應力達到某一極限值時材料發生斷裂。
在簡單拉伸試驗中,三個主應力有兩個是零,最大主應力就是試件橫截面上該點的應力,當這個應力達到材料的極限強度σ時,試件就斷裂。因此,根據此強度理論,通過簡單拉伸試驗,可知材料的極限應力就是σ。於是在複雜應力狀態下,材料的破壞條件是
σ=σ(a)
考慮安全係數以後的強度條件是
σ≤[σ](1-59)
需指出的是:上式中的σ必須為拉應力。在沒有拉應力的三向壓縮應力狀態下,顯然是不能採用第一強度理論來建立強度條件的。
第一強度理論適用於脆性材料,且最大拉應力大於或等於最大壓應力(值絕對值)的情形。
第二強度理論
第二強度理論 又稱最大伸長應變理論。它是根據 J.-V.彭賽列的最大應變理論改進而成的。主要適用於脆性材料。它假定,無論材料內一點的應力狀態如何,只要材料內該點的最大伸長應變ε達到了單向拉伸斷裂時最大伸長應變的極限值ε,材料就發生斷裂破壞,其破壞條件為:
ε≥ε(ε>0)。
對於三向應力狀態,,式中σ、σ和σ為危險點由大到小的三個主應力;E、為材料的彈性模量和泊松比(見材料的力學性能)。在單向拉伸時有 ε=σ/E,所以這種理論的破壞條件可用主應力表為:
。
第二強度理論適用於脆性材料,且最大壓應力的絕對值大於最大拉應力的情形。
第三強度理論
強度理論第三強度理論 又稱最大剪應力理論或特雷斯卡屈服準則。法國的C.-A. de庫侖於1773年,H.特雷斯卡 於1868年分別提出和研究過這一理論。該理論假定,最大剪應力是引起材料屈服的原因,即不論在什麼樣的應力狀態下,只要材料內某處的最大剪應力τ達到了單向拉伸屈服時剪應力的極限值τ,材料就在該處出現顯著塑性變形或屈服。由於
, 所以這個理論的塑性破壞條件為:
σ-σ≥σ,
式中σ是屈服正應力。
第四強度理論莫爾強度理論
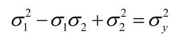
第四強度理論 又稱最大形狀改變比能理論。它是波蘭的M. T.胡貝爾於1904年從總應變能理論改進而來的。德國的R. von米澤斯於1913年,美國的H.亨奇於1925年都對這一理論作過進一步的研究和闡述。該理論適用於塑性材料。由這個理論導出的判斷塑性破壞的條件為:
強度理論在二向應力狀態下,σ=0,因而被壞條件為:
強度理論若以σ和σ為直角坐標軸,這個破壞條件可表示為圖1中的橢圓。而圖中的不等邊六邊形則表示第三強度理論的破壞條件。可見第三、第四兩個理論給出的破壞條件是很接近的。實際上,最大形狀改變比能理論也是一種剪應力理論。
第三和第四強度理論都適用於塑性材料。
上面幾個強度理論只適用於抗拉伸破壞和抗壓縮破壞的性能相同或相近的材料。但是,有些材料(如岩石、鑄鐵、混凝土以及土壤)對於拉伸和壓縮破壞的抵抗能力存在很大差別,抗壓強度遠遠地大於抗拉強度。為了校核這類材料在二向應力狀態下的強度,德國的O.莫爾於1900年提出一個理論,對最大拉應力理論作了修正,後被稱為莫爾強度理論。
強度理論莫爾用應力圓(即莫爾圓)表達他的理論,方法是對材枓作三個破壞試驗,即單向拉伸破壞試驗、單向壓縮破壞試驗和薄壁圓管的扭轉(純剪應力狀 態)破壞試驗。根據試驗測得的破壞時的極限應力,在以正應力σ為橫坐標、剪應力τ為縱坐標的坐標系中繪出莫爾圓,例如圖2是根據拉伸和壓縮破壞性能相同的材料作出的,其中圓I、圓Ⅱ和圓Ⅲ分別由單向拉伸破壞、單向壓縮破壞和純剪破壞的極限應力作出,這些圓稱為極限應力圓,而最大的極限應力圓(即圓III)稱為極限 主圓。當校核用被試材料製成的構件的強度時,若危險點的應力狀態是單向拉伸,則只要其工作應力圓不超出極限應力圓I,材料就不破壞。若是單向壓縮或一般二向應力狀態,則看材料中的應力是否超出極限力圓II或III而判斷是否發生破壞。
強度理論對於拉伸和壓縮破壞性能有明顯差異的材料,壓縮破壞的極限應力遠大於拉伸時的極限應力,所以圓II的 半徑比圓I的半徑大得多(圖3)。在二向應力狀態下,只要再作—個純剪應力狀態下破壞的極限應力圓III,則三個極限應力圓的包絡線就是極限應力曲線。和圖2相比, 此處圓III已不是極限主圓;而圖2中的極限主圓在這裡變成了對稱於σ軸的包絡曲線。當判斷由給定的材料(拉壓強度性能不同者)製成的構件在工作應力下是否會發生破壞時,將構件危險點的工作應力圓同極限應力圓圖進行比較,若工作應力圓不起出包絡線範圍,就表明構件不會破壞。有時為了省去一個純剪應力狀態(薄壁圓管扭轉)破壞試驗,也可以用圓I和圓II的外公切線近似地代替包絡曲線段。
強度理論為了考查上述各種強度理論的適用範圍,自17世紀 以來,不少學者進行了一系列的試驗。結果表明,想建立 —種統一的、適用於各種工程材料和各種不同的應力狀態的強度理論是不可能的。在使用上述強度理論時,還應知道它們是對各向同性的均勻連續材枓而言的。所有這些理論都只側重可能破壞點本身的應力狀態,在應力分布不均勻的愔況下,對可能破壞點附近的應力梯度未予考慮。
20世紀40年代中期,蘇聯的H.H.達維堅科夫和弗里德曼提出一個聯合強度理論,其要點是根據材料的性質,按照危險點的不同應力狀態,有區別地選用已有的最大剪應力理論或最大伸長應變理論,所以它實質上只是提供一個選用現成強度理論的方法。
套用
斷裂失效
第一、二強度理論(脆性材料的單、二向應力狀態,塑性材料的三向應力狀態)
屈服失效
第三、四強度理論(脆性材料的三向應力狀態,塑性材料的單、二向應力狀態)
第一理論的套用和局限
1、套用
材料無裂紋脆性斷裂失效形式(脆性材料二向或三向受拉狀態;最大壓應力值不超過最大拉應力值或超過不多)。
2、局限
沒考慮σ、σ對材料的破壞影響,對無拉應力的應力狀態無法套用。
第二理論的套用和局限
1、套用
脆性材料的二向或三向應力狀態且壓應力很大(大於最大拉應力)的情況。
2、局限
只與極少數的脆性材料在某些受力形式下的實驗結果相吻合。
第三理論的套用和局限
1、套用
材料的屈服失效形式。
2、局限
沒考慮σ對材料的破壞影響,計算結果偏於安全。
第四理論的套用和局限
1、套用
材料的屈服失效形勢。
2、局限
與第三強度理論相比更符合實際,但公式較複雜
。

