基本資料
簡介
特徵方程下面所介紹的僅僅是數列的特徵方程。
一個數列:
特徵方程設 有r,s使
特徵方程所以
特徵方程得
特徵方程消去s就導出特徵方程式
特徵方程用途
遞推是中學數學中一個非常重要的概念和方法,遞推數列問題能力要求高,內在聯繫密切,蘊含著不少精妙的數學思想和數學方法。新教材將數列放在高一講授,並明確給出“遞推公式”的概念:如果已知數列 的第1項(或前幾項),且任一項 與它的前一項 (或前幾項)間的關係可以用一個公式來表示,那么這個公式叫做數列的遞推公式。有通項公式的數列只是少數,研究遞推數列公式給出數列的方法可使我們研究數列的範圍大大擴展。新大綱關於遞推數列規定的教學目標是“了解遞推公式是給出數列的一種方法,並能根據遞推公式寫出數列的前幾項”,但從近十年來高考試題中常以遞推數列或與其相關的問題作為能力型試題來看,這一目標是否恰當似乎值得探討,筆者以為“根據遞推公式寫出數列的前幾項”無論從思想方法還是從培養能力上來看,都不那么重要,重要的是學會如何去發現數列的遞推關係,學會如何將遞推關係轉化為數列的通項公式的方法。
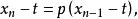
線性遞推
以線性遞推數列通項求法為例,這裡說明特徵方程的套用。
一階遞推
關於一階線性遞推數列: 其通項公式的求法一般採用如下的參數法, 將遞推數列轉化為等比數列:
特徵方程對於數列 ,
特徵方程設
特徵方程化簡得
特徵方程與原遞推式比較,得
特徵方程將解得的t代入上式即得等比數列 ,用等比數列通項即可得出原數列 。
二階遞推
對於二階線性遞推數列,可採用特徵方程法:
特徵方程對於數列 ,遞推公式為
特徵方程其特徵方程為
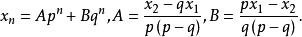
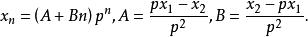
特徵方程1、 若方程有兩相異根p、q ,則
特徵方程2、 若方程有兩等根p ,則
特徵方程
特徵方程
特徵方程其中 , 可由初始條件確定。
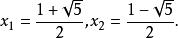
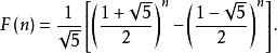
例:求斐波那契數列0, 1, 1, 2, 3, 5, 8, 13, 21, 34, 55, 89, 144, ... 的通項公式
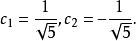
線性遞推數列的特徵方程為:
特徵方程解得
特徵方程則
特徵方程因為
特徵方程所以
特徵方程解得:
特徵方程所以
特徵方程高階遞推
特徵方程
特徵方程對於更高階的線性遞推數列,只要將遞推公式中每一個 換成 ,就是它的特徵方程。
最後我們指出,上述結論在求一類數列通項公式時固然有用,但將遞推數列轉化為等比(等差)數列的方法更為重要。如對於高階線性遞推數列和分式線性遞推數列,我們也可借鑑前面的參數法,求得通項公式。
數字電子
定義:以邏輯函式的形式來描述次態與現態及輸入信號之間的關係。
常見特徵方程
RS觸發器:Q*=S+R`Q (SR=0);
D觸發器: Q*=D;
T觸發器:Q*=T⊕Q;
JK觸發器:Q=JQ`+K`Q。
自動控制
D(s)為閉環傳遞函式P=G(s)/[1+H(s)*G(s) ]的分母。

