數學名詞
特徵
特徵
特徵
特徵
特徵
特徵
特徵
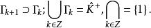
特徵 特徵是經典特徵函式在局部域上的一種推廣,局部域 K 的加群 的特徵是 K 到複數域 C 的子群 上的連續函式,滿足。記上的特徵的全體為,據對偶理論,也是一個局部緊群,且(拓撲同構)
特徵 的零化子定義為
特徵
特徵 則有,且成立
特徵
特徵
特徵
特徵
特徵
特徵
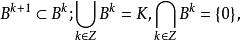
特徵 與 分別為 K 與中既開又閉的子集系,成為 K 與中單位元的基, 的特徵可類似定義。
漢語釋義
基本解釋
◎ 特徵 tè zhēng。
(1) [Characteristic;Distingushing feature;Stigma]∶一事物異於其他事物的特點。
地理特徵
(2) [Characteristic;Specific]∶作為一事物異於他事物的特點的。
特徵函式
詳細解釋
(1)特別徵召。別於平常的鄉舉里選。
《後漢書·郎顗傳》:“天之生 固 ,必為聖 漢 ,宜蒙特徵,以示四方。”
北齊 顏之推 《顏氏家訓·後娶》:“ 建光 中,公車特徵,至拜侍中。”
金 元好問《王黃華墓碑》:“避 漢 末之亂,徙居 遼東 。 曹公 特徵,不應,隱居終身。”
(2)人或事物可供識別的特殊的象徵或標誌。
魯迅 《且介亭雜文·臉譜臆測》:“這假面上,大約一定得表示出這角色的特徵,一面也是這角色的臉相的規定。”
曹禺 《雷雨》第一幕:“在陽光下他的臉呈著銀白色,一般人說這就是貴人的特徵。”
(3).特點。
周恩來 《目前軍閥混戰的形勢》:“先有農村紅軍,後有城市政權,這是 中國 革命的特徵,這是 中國 經濟基礎的產物。”
秦牧 《藝海拾貝·辯證規律在藝術創造上的運用》:“沒有形象就沒有文學藝術,形象是藝術的主要特徵之一。”
術語
特徵(characteristic) 是一個客體或一組客體特性的抽象結果。特徵是用來描述概念的。( 來源:《GB/T15237.1-2000術語工作 辭彙 第1部分:理論與套用》3.2.4 特徵)
任一客體或一組客體都具有眾多特性,人們根據客體所共有的特性抽象出某一概念,該概念便成為了特徵。
本質 特徵和區別特徵
不同專業領域對同一客體的眾多特性側重有所不同。在某個專業領域中,反映客體根本特性的特徵,稱為本質特徵。因此本質特徵是因概念所屬專業領域而異的,反映了不同專業領域的不同側重點。而區別特徵反映的是此事物區別於其他事物的特徵。
名言
• 獨立性是天才的基本特徵。——歌德
• 思而後行,以免做出蠢事。因為草率的動作和言語,均是卑劣的特徵。——畢達哥拉斯
• 計算機在數學研究中發揮的作用將越來越大;藉助計算機解決數學問題將激勵人們去尋求更好、更簡單的方法,也加深人們對數學本質特徵的認識,還推動以計算機為基礎的人工智慧的發展。——周海中

