爬坡能力檢測
爬坡能力汽車爬坡能力是指汽車滿載,在良好路面上用一擋行駛時所能克服的最大坡度。通常用最大爬坡度 表示:
爬坡能力
爬坡能力式中, ——汽車最大爬坡度,%;
爬坡能力——汽車所能越過的最大坡度,(°)。
爬坡能力
爬坡能力汽車要求有足夠的爬坡能力,載貨汽車 在30%左右;越野汽車 在60%左右。
汽車最大爬坡度測試方法:選擇與該車預計爬坡度相近的坡道,坡道長度應大於25m,坡前應有8~10m的平直路段。測試車停於坡底靠近坡道的平直路段上,變速器置於最大牽引力輸出擋(通常是一擋)。汽車起步後,將加速踏板踩到底進行爬坡。如果汽車能順利爬上該坡道,再選擇更大一級坡道進行測試,直到汽車不能爬上坡道為止,所能爬上的最大坡度,就是汽車所能越過的最大坡度 。
條件限制
汽車使用低速擋全力上坡時,加速阻力為零,由於此時車速較低,空氣阻力忽略不計。
爬坡能力
爬坡能力受附著條件限制時,汽車受到的地面切向作用力 ,等於汽車驅動輪的附著力 ,見下式。下圖為前驅動的汽車上坡時的受力圖,其受力平衡情況為 :
前驅動汽車上坡受力圖
爬坡能力
爬坡能力
爬坡能力
爬坡能力此時, 和 分別為:
爬坡能力
爬坡能力
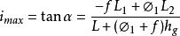
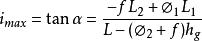
爬坡能力由以上各式,可求出前驅動汽車受到附著條件限制時的最大爬坡度 為:
爬坡能力
爬坡能力同理,可求出後驅動汽車受到附著條件時的最大爬坡度 為:
爬坡能力
爬坡能力對於全輪驅動的汽車,若滿足 ,則:
爬坡能力相關說明
轎車最高車速高,加速時間短,且通常在城市道路及較好公路條件下行駛,一般不強調爬坡能力;貨車行駛的道路環境較複雜,具有足夠的爬坡能力非常必要,一般在30%左右,即坡度角α為16.7°左右;而越野汽車要在壞路或無路條件下行駛,因而爬坡能力至關重要,其最大爬坡度可達60%左右,即坡度角31°左右。
爬坡能力需要說明: 大於汽車實際行駛中所能通過的道路最大坡度,是汽車的極限爬坡能力。因為汽車在實際坡道上行駛時,為順利起步加速、克服鬆軟路面和崎嶇不平路面的較大阻力等都會消耗汽車動力。
汽車在一定坡道上必須達到的車速也可以表明汽車的爬坡能力。強調汽車在坡道上的運行速度,有助於提高汽車在山區複雜道路上的平均行駛速度。
汽車的上述三類動力性指標均應在無風或微風條件下測定 。

