定義
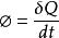
熱流率是單位時間內通過某一截面的熱量,是倆個系統表面接觸時的熱量流動:
熱流率傳熱學-所屬學科
傳熱學是研究熱量傳遞過程規律的科學,傳熱是因為溫差而發生的熱能的轉移。自然界和生產過程中,到處存在溫差,熱量將自發地由高溫物體傳遞到低溫物體,熱傳遞就成為一種極其普遍的物理現象。傳熱的方式有三種:熱傳導,熱對流,熱輻射。
區分-熱流率與熱流密度
要注意區分區別熱流率和熱流密度,熱流密度表示單位時間內通過單位面積的熱量,表示為q。國際單位是 W/m²,英制單位為BTU/sec-ft。通過面積為A的平壁時的熱流率為熱流密度與面積的乘積:Φ = qA 。
計算
在傳熱學中,熱流率的計算可以根據不同的傳熱方式(傳導,對流,輻射),獲得熱流密度的表達式,再根據熱流密度和熱流率之間的關係進行換算即可。
熱流率
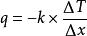
熱流率例如,在一維熱傳導過程中,熱流密度的計算公式為,k為比例係數,稱為熱導率或導熱係數,∆T是溫度的變化,x表示材料的厚度,由於熱能是向溫度降低的方向傳輸,所以方程中有負號。此時,通過A面積的平壁的熱流率計算即為。
也可以根據傳熱學的定義計算,例如假設倆個系統之間的質量和比熱都是相同的。系統A的平均溫度為500K,系統B的平均溫度為400K,倆個系統接觸30秒後均達到450K,那么平均熱流率為:50 J/30 s

