熱力學特性函式及性質
在熱力學中,最基本的是物態方程、內能和熵,其它熱力學函式均可由這3個基本函式導出。由於處於平衡態的系統,其性質由熱力學函式描述,因此,只要知道這3個基本熱力學函式,均勻系統的平衡性質就完全確定了。也就是說,要確定均勻系統的平衡性質一般需要知道3個函式 。
如果由某一函式可導出上述3個基本熱力學函式,這一函式就可以完全確定一個均勻系的平衡性質,表明它是表征均勻系統特性的,那么該函式就被稱為這個系統的特性函式。如果特性函式存在,那么要確定均勻系統的平衡性質只需要知道一個函式就可以了。
熱力學函式獨立變數的選擇有任意性。馬休在 1869 年證明,如果適當選擇獨立變數(稱為自然變數),只要知道一個熱力學函式及它的自然(正則)變數,就可以通過求偏導而求得均勻系的全部熱力學函式,從而把均勻系統的平衡性質完全確定,這個熱力學函式即熱力學特性函式。
例如,對於一個熱力學函式若適當地選擇其獨立變數時,即U(S,V),H(S,p),F(T,V),和C(T,p)就可以用其中任一個狀態函式來導出3個基本熱力學函式,從而推得體系所有其它的熱力學函式(包括U,H,F,S,T,p,V等)。如此選定獨立變數的熱力學函式,因具有以上的特性,故為熱力學特性函式 。
特性函式的套用
證實特性函式的存在是熱力學的重大成就.但由於這些函式的表達式不能從熱力學定律本身得到,使得在熱力學範圍內,仍然沒能充分利用這些成就。然而,由於特性函式本身所具有的性質——由它可以推得體系所有其它的熱力學函式,即它可以直接和其它熱力學函式(或它們的偏導數)聯繫起來,這就決定了套用它會給解決熱力學問題帶來極大的方便 。
在熱力學中,涉及熱力學函式偏導數的恆等式證明題很多,證題的技巧性也很強,但套用特性函式來求證就不需要更多的數學技巧。下面列舉實例具體說明。
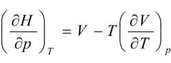
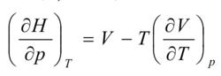
焓態方程:
熱力學特性函式的導出。
觀察欲證等式,變數為T,p, 如果選擇T,p為獨立變數,C(T,p)為特性函式.由吉布斯函式和焓的定義式,可知 C 與 H 的關係為:
H=C+TS
則:
熱力學特性函式由熱力學基本方程dC=-SdT+Vdp及麥氏關係,可得焓態方程:
熱力學特性函式類似的證明問題在熱力學中還有很多,通常的做法都要利用一些數學關係式,如偏微商的循環關係式和鏈式及倒置式、全微分式及其判別式、雅可比式等來解決,技巧也主要在證明的每一步選擇什麼公式進行變換能使證明最簡單,可以說一題一法,較難掌握 。

