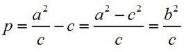
圓錐曲線性質在橢圓中,p=a^2/c-c;在雙曲線中,p=c-a^2/c。對於橢圓和雙曲線,p=b^2/c都適用。
焦準距是拋物線的最重要參量,因為其方程(例如:y^2=2px)就是用p刻畫的。拋物線的焦點到頂點的距離為p/2,拋物線的準線到頂點的距離也是p/2。另外,拋物線有許多特殊性質都是和p有關的。
拋物線中焦準距的部分特殊性質:
1、焦準距是焦點弦兩端點到對稱軸距離的等比中項;
2、焦準距是過焦點的弦的兩個焦半徑在y軸上射影的等比中項;
3、半焦準距是弦兩端點到過拋物線頂點的切線的距離的等比中項;
4、焦準距P的倒數是焦點弦上的兩條焦半徑的倒數的等差中項。

