定義及套用
灰色Verhulst模型的基本思想是生物個體數量是呈指數增長的,受周圍環境的限制,增長速度逐漸放慢,最終穩定在一個固定值。該模型主要用來描述具有飽和狀態的過程,即“S”型過程(如圖所示),常用於人口預測、生物生長、繁殖預測及產品經濟壽命預測等。
公式
灰色 Verhulst 模型以時間序列數據建立原始數據序列,
灰色 Verhulst 模型對數據進行累加處理並確定緊鄰均值生成序列,令,
則累加生成序列是
灰色 Verhulst 模型
灰色 Verhulst 模型
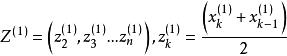
灰色 Verhulst 模型是的緊鄰均值生成序列:
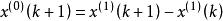
灰色 Verhulst 模型,其中 k=2,3...n 。
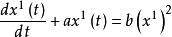
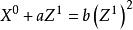
灰色 Verhulst 模型建立Verhulst模型函式:, a,b 是待定參數。
該函式的微分方程式是
灰色 Verhulst 模型該微分方程的解是
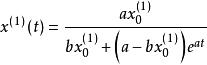
灰色 Verhulst 模型Verhulst模型的時間回響序列是
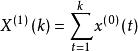
灰色 Verhulst 模型最後得到Verhulst預測模型:
灰色 Verhulst 模型
灰色 Verhulst 模型待定參數 ab 用最小二乘估計:

