定義
一般成像系統只具有一定的亮度回響範圍,亮度的最大值與最小值之比稱為對比度。由於成像系統的限制,常出現對比度不足的弊病,使人眼觀看圖像時視覺效果很差。灰度變換是指根據某種目標條件按一定變換關係逐點改變源圖像中每一個像素灰度值的方法。目的是為了改善畫質,使圖像的顯示效果更加清晰。圖像的灰度變換處理是圖像增強處理技術中的一種非常基礎、直接的空間域圖像處理方法,也是圖像數位化軟體和圖像顯示軟體的一個重要組成部分。
從圖像輸入裝置得到的圖像數據,以從白到黑的不同灰度表示,各個像素與某一灰度值相對應。假設源圖像像素的灰度值D=f(x, y),處理後圖像像素的灰度值D’=g(x, y),則灰度變換可表示為 :g(x, y)=T [f(x, y)] ,其中,函式T(D)稱為灰度變換函式,主要表示了輸入灰度值和輸出灰度值之間的轉換關係。
灰度變換主要針對獨立的像素點進行處理,通過改變原始圖像數據所占據的灰度範圍而使圖像在視覺上得到良好的改變。如果選擇的灰度變換函式不同,即使是同一圖像也會得到不同的結果。因此,選擇灰度變換函式應該根據圖像的性質和處理的目的來決定。選擇的標準是經過灰度變換後,像素的動態範圍增加,圖像的對比度擴展,使圖像變得更加清晰、細膩,容易識別。
採用灰度變換法對圖像進行處理可以大大改善圖像的視覺效果。灰度變換法可以分為線性變換和非線性變換。
灰度線性變換
線性變換
在曝光度不足或過度的情況下,圖像灰度可能會局限在一個很小的範圍內。這時在顯示器上看到的將是一個模糊不清、沒有灰度層次的圖像。用一個線性單值函式,對圖像內的每一個像素做線性擴展,將有效地改善圖像視覺效果。
灰度變換
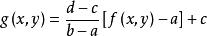
灰度變換假定源圖像f(x, y)的灰度範圍為[a, b],希望變換後圖像g(x, y)的灰度範圍擴展至[c, d],則線性變換可表示為 由此可見,對輸入圖像灰度做線性擴張或壓縮,映射函式為一個直線方程,該線性灰度變換函式是一個一維線性函式,如右圖所示。
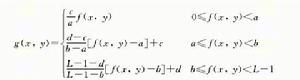
若圖像總的灰度級數為L,其中大部分像素的灰度級分布在[a,b],小部分像素的灰
度級超出了此區間,則可以在[a,b]區間內作線性變換,超出此區間的灰度可以變換為常數或保持不變,見下式:
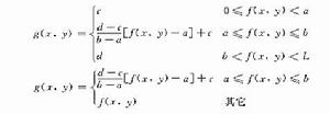
灰度變換分段線性變換
灰度變換增強圖像對比度實際是增強圖像中各部分之間的反差,往往通過增加圖像中兩個灰度值間的動態範圍來實現,有時也稱其為對比度拉伸。為了突出感興趣的灰度區間,相對抑制那些不感興趣的灰度區間,可採用分段線性變換。常用的三段線性變換如又圖所示,L表示圖像總的灰度級數,其數學表達式如下,
灰度變換通過調整折線拐點的位置及控制分段直線的斜率,可對任一灰度區間進行擴展或壓縮。
非線性變換
灰度變換當某圖像的像素集中於中間灰度部分,而其他部分的像素很少時,如果只想仔細地分析圖像的某一部分,也就是對圖像的那部分增強,我們可以壓縮像素少的部分,擴展像素數集中的部分。典型的非線性變換函式有冪函式、對數函式、指數函式、閾值函式、多值量化函式、視窗函式等。閾值函式、多值量化函式、視窗函式如右圖所示,r和s分別為變換前後圖像的灰度。實際上它們都可以歸為閾值函式,即把某個灰度範圍映射為一個固定的灰度值,目的是為了突出感興趣的區域。

