測地學概念
測地方程介紹
測地學
大地測量學呢又叫測地學,是地球科學的一個分支學科,是一門研究地球形狀及其,行星幾何和物理形態(特徵)的一門基礎學科。它包括物理大地測量學、幾何大地測量學、衛星大地測量學和空間大地測量學,那么幾何大地測量學和物理大地測量學呢,構成了現代大地測量的基本體系,它的基本任務是研究全球,建立與時相依的,地球參考坐標框架,研究地球形狀及其外部重力場的理論與方法,研究描述極移固體潮及地殼運動等,地球動力學問題,研究高精度定位理論與方法。
測地學
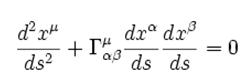
測地方程
測地學講述人類對於地學的發展認識的一個過程,包括其中的重要階段和主要人物。
介紹 歷史記載內容簡介“天文測地學”是天文學專有名詞。來自中國天文學名詞審定委員會審定發布的天文學專有名詞中文譯名,詞條譯名和中英文解釋數據著作權由天文學名詞委所有。中文譯名天文測地學英文原名/注釋astrogeodesy...
地學雜誌,是原中國地學會主辦的機關刊物,也是中國第一個地理學術刊物。創刊號第一篇論文,即美國德瑞克博士的《論地質之構成與地表之變動》一文,以示此刊向新地...
簡介 主要內容 基本階段《地學歌訣集成》是由(清)沈縞編著的作品,於2010年由內蒙古人民出版社出版。
內容簡介 目錄遙感圖像目視判讀 航空遙感圖像目視判讀 航天遙感圖像目視判讀
圖書摘要 基本信息 圖書目錄遙感圖像解譯原理 地質遙感概論 遙感圖像的地層解譯
圖書信息 內容簡介 目錄"華業地學科技公司成立於1993年,隸屬於中國核工業地質局,是北京地區專業的地基基礎工程檢測單位。 在長期的地基基礎工程質量檢測實踐中,華業地學科技公司...
數字測圖(Digital Surveying and Mapping,DSM)系統是以計算機及其軟體為核心在外接輸入輸出設備的支持下,對地形空間數據進行...
區別 特點 實質 發展概況以人造衛星為基準測定地麵點位坐標、確定地球形體和地球引力場及測繪地圖的技術。衛星測地的發展促使地學中出現一門新的分支學科──空間大地測量學。
發展概況 分類 系統組成