液晶理論
正文
液晶分子較大,因此可以用經典力學和經典統計力學來描述它的性質。關於長形分子液晶的理論研究較為成熟,對盤形分子和溶致液晶的研究則剛開始。下面主要介紹長棒狀分子的熱致液晶理論。液晶理論主要解決兩大類問題。①用連續體理論來描述流體動力學性質;②相變理論。液晶分子有方向和平移互相耦合的兩種自由度,因此,其流體力學方程就比簡單液體的要複雜。液晶相變理論主要用朗道巨觀理論和分子統計兩種方法來處理。
連續體理論 長棒狀分子的運動,可以用質心速度v(r,t)和分子平均取向單位矢量(指向矢)r(r,t)來描述。系統有r和-r等價的對稱性。描述向列相和膽甾相的流體動力學非線性方程已由 J.埃里克森 (1961)和F.M.萊斯利(1968)建立。在不可壓縮條件下有

,余類推,ρ為密度,ρ1為單位體積的分子轉動慣量,
來自r·r=1的約束條件,σij、gi、πij為與自由能F 有關的各項相應可逆過程的物理量,σ拞和g媴是從耗散函式D導出的不可逆過程部分。向列相和膽甾相有五個獨立的粘滯係數。質心運動與分子轉動互有影響,膽甾相的運動還與溫度有關。上述流體力學方程已被實驗證實。 從守恆定律和對稱性破缺考慮,可以導出包括近晶相在內的線性運動方程。用這個方法易於獲得傳播或擴散的流體動力學模式(即頻率與波矢同時趨於零的模式)的數目和性質;結果與埃里克森-萊斯利方程線性化後的結果一致。
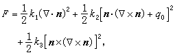
靜態的分子排列由系統的自由能和邊界條件決定。膽甾相的自由能密度表達式為

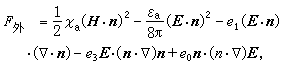
為螺距。q0=0時成為向列相的表達式。上式稱為奧欽(1933)-夫蘭克(1958)自由能密度。k1、k2和k3分別為展曲、扭曲和彎曲曲率彈性常數。在外電場E(r)和外磁場H(r)作用下,還有附加自由能密度F
項
ⅹɑ為磁化率各向異性部分,εɑ為介電各向異性部分,e1、e3和e0為撓曲電係數。
液晶系統中不可避免地存在著雜質、離子與電荷,因此整個系統還要滿足麥克斯韋方程組和電荷守恆方程,這樣組成了一個電磁流體動力學體系。
從自由能表達式通過變分原理得到的方程的奇異解對應於液晶中的缺陷。液晶缺陷可通過拓撲學的同倫群加以分類。
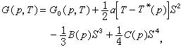
相變巨觀理論 描述液晶相變的最簡單理論是朗道平均場理論。這裡,描述向列相與各向同性液相之間的一級相變的吉布斯自由能(見吉布斯函式)為

在許多情形還必須考慮漲落的影響。譬如向列相與近晶C相之間的相變是一級相變,但平均場近似卻給出二級相變。在鄰近近晶A要的向列相中,平行與垂直於r的兩個相關長度的臨界指數並不相同,也與一般理論假設有矛盾。
有一些相變(包括二維薄膜與膽甾相的藍相)可以套用缺陷機理來解釋,並牽涉到模耦合和重正化群的計算。
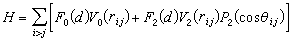
分子統計理論 從哈密頓量
出發,用平均場近似可以計算出各向同性液相、向列相與近晶A相的各類相圖。式中 F0(d)V0(rij)為分子質心的作用勢能,F2(d)V2(rij)p2(cosθij)為倫敦色散力排列勢能,rij和θij是i分子和j分子之間的距離和夾角。V0=0,F2V2=-J 的情形,稱為邁爾-紹佩(Maier-Saupe)理論,J是與分子體積等有關的常數。 這時平均場的
式中
是向列相的序參量, 從這種分子統計理論可以計算曲率彈性常數等材料參量和膽甾相相變等,並獲得一定的成功。然而,目前還未能從理論上預言哪種化合物會有液晶相。 利用分子統計理論也可對重入現象(見液晶)、盤形分子液晶相圖以及(物理性質依分子尾鏈碳原子數而交替變化的)奇偶效應等部分實驗結果作出解釋。
參考書目
L.Lam,Z. Physik,B.27,p.349,1977.
Shu Changqing and Lin Lei, Mol. Cryst. & Liq. Cryst., Vol.112, p.213,p.233,1984.
P. G.de Gennes, The Physics of Liquid Crystal,Clarendon Press, Oxford, 1974.

