基本信息
海底混響
hǎidǐhǔnxiǎng
bottomreverberation
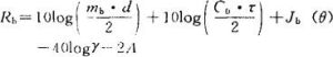
由於海底的不平整性和底質的非均勻性而產生的聲散射在接收換能器處的迭加效應。因為從聲源到海底有相當距離,所以海底混響在聲脈衝發出後,隔一定時間才開始突然升起。海底混響滿足如下方程:
公式式中,Jb(θ)是換能器的海底混響指數;2A是沿聲線的往返衰減值。這裡假設海底的散射係數mb和掠射角的正弦成比例(掠射角是入射角的餘角):
mb=mbsinθ
式中,d為散射體的尺寸;Cij為聲速;τ為發射的聲脈衝寬度:γ是散射體的距離。海底混響是影響聲納系統工作的主要干擾之一。
