流動波
正文
沿輸電線路傳播的電磁波。又稱行波。輸電線路出現的電磁激勵若其對應的波長與線路長度可以相比,此激勵將顯示為電磁波的性質而沿著線路傳播,即為流動波。例如,線路遭受雷擊時雷電衝擊波就形成流動波。流動波的傳播過程由輸電線路的分布參數特性所決定。在電纜、變壓器或發電機繞組中也會出現流動波過程。具有分布參數的輸電線路上的電壓和電流既隨時間變化又隨位置變化,即同時是時間t和位置χ的函式
u=u(χ,t)
i=i(χ,t)
它需通過下列偏微分方程求解

稱為波速;
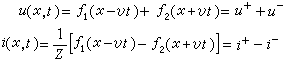
稱為波阻抗或特性阻抗。可見電壓和電流都是由兩個分量疊加而成。第一個分量u+、i+以(χ-vt)為變數;第二個分量u-、i-以(χ+vt)為變數,這表明它們具流動波性質。u+以速度v在沿著χ方向傳播,如圖la所示。
計算表明,波速v恰好等於光速,就是電磁波在輸電線路周圍介質中的傳播速度。同樣,u-也具流動波性質,只是傳播方向相反,如圖1b所示。u+、u-分別稱為電壓前行(流動)波和反行(流動)波。輸電線路上任一時間和地點實際出現的電壓就是這兩個流動波成分的疊加,具體數值需由激勵方式和線路結構等條件來決定。對於電流也有類似的情形,i+、i-分別稱為電流前行(流動)波和反行(流動)波。 電壓、電流前行波之間的比值和電壓、電流反行波之間的比值相等,均等於波阻抗Z,

β是反射係數,
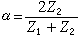
,Z1是該節點之前初始入射波所在的線路波阻抗,Z2是該節點之後只有折射波進入的線路波阻抗。對於一條末端開路的輸電線,其末端可視為連線一波阻抗Z2=∞的輸電線,此時折射係數α=2,反射係數β=1。若線路始端接有電源,受始端條件的制約,反射波到達始端後又會產生新的折射和反射,進而形成多次折反射。
圖2a表示出t=0時線路始端接通一個幅值為1的直流電源(即單位階躍激勵),它作為初始入射波沿線路到達末端,又經過多次折反射在末端形成的電壓波形。可見末端將出現2倍於電源幅值的電壓,其周期
,l是線路長度,v是流動波速度。實際情況是輸電線路總存在損耗,圖2b的波形不可能永久持續下去,而是逐漸變形、衰減,最後穩定為電源電壓值。這一過程就是空載線路始端合上直流電源時所發生的電磁暫態過程。 流動波是電力系統中遭受雷電襲擊、開關操作或發生短路故障時所必然出現的現象。研究各種流動波過程對於電力系統中的過電壓預測、開關熄弧能力等問題的分析都是十分必要的。

