藥品簡介
注射用頭孢他定通用名注射用頭孢他定
英文名CEFTAZIDIMEFORINJECTION
拼音名ZHUSHEYONGTOUBAOTADING
藥品類別頭孢菌素及碳青黴烯類
性狀本品為白色或類白色結晶性粉末。
貯藏密閉,在涼暗處保存。
主要成分
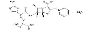
頭孢他定結構式通用名頭孢他定
化學名(6R,7R)-7-[[(2-氨基-4-噻唑基)-[(1-羧基-1-甲基乙氧基)亞氨基]乙醯基]氨基]-2-羧基-8-氧代-5-硫雜-1-氮雜雙環[4.2.0]辛-2-烯-3-甲基吡啶鎓內鹽五水合物
拼音名TOUBAOTADING
英文名CEFTAZIDIME
CASNo.72558-82-8
分子式C22H22N6O7S2·5H2O
分子量636.65
規格按C22H22N6O7S2計算(1)0.5g(2)1.0g
藥理毒理
本品為第三代頭孢菌素類抗生素。對大腸埃希菌、肺炎桿菌等腸桿菌科細菌和流感嗜血桿菌、銅綠假單胞菌等有高度抗菌活性。對硝酸鹽陰性桿菌、產鹼桿菌等亦有良好抗菌作用。對於細菌產生的大多數β內醯胺酶高度穩定,故其對上述革蘭陰性桿菌中多重耐藥菌株仍可具抗菌活性。肺炎球菌、溶血性鏈球菌等革蘭陽性球菌對本品高度敏感,但本品對葡萄球菌僅具中度活性,腸球菌和耐甲氧西林葡萄球菌則往往對本品耐藥。本品對消化球菌和消化鏈球菌等厭氧菌具一定抗菌活性,但對脆弱擬桿菌抗菌作用差。其作用機制為與細菌細胞膜上的青黴素結合蛋白(PBPs)結合,使轉肽酶醯化,抑制細菌中隔和細胞壁的合成,影響細胞壁粘肽成分的交叉連結,使細胞分裂和生長受到抑制,細菌形態變長,最後溶解和死亡。
藥代動力學
成人單次靜脈滴注和靜脈注射頭孢他啶1g後,血藥峰濃度(Cmax)分別可達70~72mg/L和120~146mg/L。血消除半衰期(t1/2b)約為1.5~2.3小時。給藥後在多種組織和體液中分布良好,也可透過血-腦脊液屏障,腦膜有炎症時,腦脊液內藥物濃度可達同期血濃度的17%~30%。血漿蛋白結合率為5%~23%。本品主要自腎小球濾過排出,靜脈給藥後24小時內以原形自尿中排出給藥量的84%-87%,膽汁中排出量少於給藥量有1%。中、重度腎功能損害者本品的消除半衰期延長,當內生肌酐清除率≤2m1/分鐘時,消除半衰期可延長至14~30小時。在新生兒中的半衰期稍延長(平均4~5小時)。本品可通過血液透析清除。
適應症
用於敏感革蘭陰性桿菌所致的敗血症、下呼吸道感染、腹腔和膽道感染、複雜性尿路感染和嚴重皮膚軟組織感染等。對於由多種耐藥革蘭陰性桿菌引起的免疫缺陷者感染、醫院內感染以及革蘭陰性桿菌或銅綠假單胞菌所致中樞神經系統感染尤為適用。
用法用量
靜脈注射或靜脈滴注。1.敗血症、下呼吸道感染、膽道感染等,一日4~6g,分2~3次靜脈滴注或靜脈注射,療程10~14日;2.泌尿系統感染和重度皮膚軟組織感染等,一日2~4g,分2次靜脈滴注或靜脈注射,療程7~14日。3.對於某些危及生命的感染、嚴重銅綠假單胞菌感染和中樞神經系統感染,可酌情增量至一日0.15~0.2g/kg,分3次靜脈滴注或靜脈注射。4.嬰幼兒常用劑量為一日30~100mg/kg,分2~3次靜脈滴注。
不良反應
本品的不良反應少見而輕微。少數患者可發生皮疹、皮膚瘙癢、藥物熱;噁心、腹瀉、腹痛;注射部位輕度靜脈炎;偶可發生一過性血清氨基轉移酶酶、血尿素氮、血肌酐值的輕度升高;白細胞、血小板減少及嗜酸性粒細胞增多等。
禁忌症
對頭孢菌素類抗生素過敏者禁用。
注意事項
1.交叉過敏反應:對一種頭孢菌素或頭黴素(cephamycin)過敏者對其他頭孢菌素或頭黴素也可能過敏。對青黴素類、青黴素衍生物或青黴胺過敏者也可能對頭孢菌素或頭黴素過敏。對青黴素過敏病人套用頭孢菌素時發生過敏反應者達5%~10%;如作免疫反應測定時,則對青黴素過敏病人對頭孢菌素過敏者達20%。
2.對青黴素過敏病人套用本品時應根據病人情況充分權衡利弊後決定。有青黴素過敏性休克或即刻反應者,不宜再選用頭孢菌素類。
3.有胃腸道疾病史者,特別是潰瘍性結腸炎、局限性腸炎或抗生素相關性結腸炎(頭孢菌素類很少產生偽膜性結腸炎)者應慎用。
4.腎功能明顯減退者套用本品時,需根據腎功能損害程度減量。
5.對重症革蘭陽性球菌感染,本品為非首選品種。
6.在不同存放條件下,本品粉末的顏色可變暗,但不影響其活性。
7.對診斷的干擾:套用本品的病人直接抗球蛋白(Coombs)試驗可出現陽性;本品可使硫酸銅尿糖試驗呈假陽性;血清丙氨酸氨基轉移酶(ALT)、門冬氨酸氨基轉移酶(AST)、鹼性磷酸酶、血尿素氮和血清肌酐皆可升高。
8.以生理鹽水、5%葡萄糖注射液或乳酸鈉稀釋成的靜脈注射液(20mg/ml)在室溫存放不宜超過24小時。
用藥
孕婦及哺乳期婦女用藥孕婦和哺乳期婦女套用頭孢菌素類雖尚未見發生問題的報告,其套用仍須權衡利弊。
兒童用藥小兒一日最高劑量不超過6g。
老年患者用藥65歲以上老年患者劑量可減至正常劑量的2/3-1/2,一日最高劑量不超過3g。
藥物相互作用
1.本品與下列藥物有配伍禁忌:硫酸阿米卡星、慶大黴素、卡那黴素、妥布黴素、新黴素、鹽酸金黴素、鹽酸四環素、鹽酸土黴素、粘菌素甲磺酸鈉、硫酸多粘菌素B、葡萄糖酸紅黴素、乳糖酸紅黴素、林可黴素、磺胺異噁唑、氨茶鹼、可溶性巴比妥類、氯化鈣、葡庚糖酸鈣、鹽酸苯海拉明和其他抗組胺藥、利多卡因、去甲腎上腺素、間羥胺、哌甲酯、琥珀膽鹼等。偶亦可能與下列藥物發生配伍禁忌:青黴素、甲氧西林、琥珀酸氫化可的松、苯妥英鈉、丙氯拉嗪、維生素B族和維生素C、水解蛋白。
2.在碳酸氫鈉溶液中的穩定性較在其他溶液中為差。
3.本品不可與氨基糖苷類抗生素在同一容器中給藥。與萬古黴素混合可發生沉澱。
4.本品與氨基糖苷類抗生素或速尿等強利尿劑合用時需嚴密觀察腎功能情況,以避免腎損害的發生。

