成份
本品為複方製劑,其組份為阿莫西林鈉和舒巴坦鈉【阿莫西林(CHNaOS)和舒巴坦(CHNOS)標示量之比為2:1】均勻混合的無菌粉末。
化學名稱:
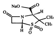
阿莫西林鈉:(2S,5R,6R)-3,3-二甲基-6-【(R)-(-)-2-氨墓-2-(4-羥基苯基)乙醯氨基】-7-氧代-4-硫雜-1-氮雜雙環【3.2.0】庚烷-2-甲酸鈉。
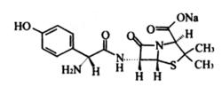
舒巴坦鈉:(2S,5R)-3,3-二甲基-7-氧代-4-硫雜-1-氮雜雙環【3.2.0】庚烷-2-羧酸鈉-4,4-二氧化物
化學結構式:
阿莫西林鈉:
注射用阿莫西林鈉舒巴坦鈉分子式:CHNaOS
分子量:387.40
舒巴坦鈉:
注射用阿莫西林鈉舒巴坦鈉分子式:CHNNaOS
分子量:255.23
性狀
本品為白色或類白色粉末。
適應症
本品含β-內醯胺酶抑制劑-舒巴坦,適用於產酶耐藥菌引起的下列感染性疾病,包括:
1.上呼吸道感染:如耳、鼻、喉部感染,即中耳炎、竇炎、扁桃體炎和咽炎等;
2.下呼吸道感染:如肺炎、急性支氣管炎和慢性支氣管炎急性發作、支氣管擴張、膿胸、肺膿腫;
3.泌尿生殖系統感染;如腎盂腎炎、膀胱炎和尿道炎等;
4.皮膚及軟組織感染:如蜂窩組織炎,傷口感染,癤病、膿性皮炎和膿皰病,性病;淋病等。
5.盆腔感染:婦科感染,產後感染等;
6.口腔膿腫:如手術用藥等;
7.嚴重系統感染:如腦膜炎、細菌性心內膜炎、腹膜炎、骨髓炎、傷寒和副傷寒,預防心內膜炎等。
規格
(1)0.375g(CHNOS 0.25g與CHNOS 0.125g)
(2)0.75g(CHNOS 0.5g與CHNOS 0.25g)
(3)1.5g(CHNOS 1.0g與CHNOS 0.5g)
(4)3.0g(CHNOS 2.0g與CHNOS 1.0g)
用法用量
靜脈滴注,用前用適量注射用水或氯化鈉注射液溶解後,再加入0.9%氯化鈉注射液100ml中靜脈滴注,每次滴注時間不少於30~40分鐘。
成人劑量;每次0.75g(阿莫西林0.5g、舒巴坦0.25g)~1.5g(阿莫西林1.0g.舒巴坦0.5g),每日3~4次。根據病情可增加劑量,但舒巴坦每日最大劑量不能超過4.0g。
不良反應
本品通常耐受性良好,常見不良反應為:
1.胃腸道反應:如腹瀉,噁心,嘔吐等;
2.皮膚反應:發紅斑性斑丘疹損傷,蕁麻疹等;
3.過敏反應:如皮疹、口唇腫脹和口腔黏膜潰爛等;
4.其他:一過性SGPT升高等;
上述胃腸道反應、皮膚反應多見於高敏患者,一般為輕度、短暫的,會自行消失或停藥後消失。
對青黴素過敏者,有可能發生嚴重過敏反應。
禁忌
對青黴素類藥物過敏者禁用。
注意事項
1.本品含阿莫西林,其為青黴素類藥品,使用本品前應進行青黴素鈉皮內敏感試驗,陽性反應者禁用。
2.本品與其他青黴素類藥物和頭孢菌素類藥物之間存在交叉過敏性。
3.延長療程時,應不定期檢查肝腎功能和血象。淋病患者初診及治療三個月後應進行梅毒檢查。
4.服用本品後,使用Clinitest,Benedict溶液或Fehling溶液檢查尿中葡萄糖的實驗結果會出現假陽性。建議使用本品後,採用葡萄糖氧化酶反應法(如Clinistix或Tes-Tape法)進行此項檢查。
5.孕婦使用時,血漿中的結合雌三醇、雌三醇-葡萄糖苷酸、結合雌酮,雌三醇會出現一過性升高。
6.本品配成溶液後必須及時使用,不宜久置。
7.接受別嘌醇(Allopurinol)或雙硫侖(Disulfiram)治療的病人,不宜使用本品。
孕婦及哺乳期婦女用藥
對於在懷孕及哺乳期內婦女,不推薦本品。
兒童用藥
由於新生兒和嬰兒腎功能不全,阿莫西林的清除會延遲,三個月以下兒童用藥應調整劑量。
老年用藥
未進行該項實驗且無可靠參考文獻。
藥物相互作用
丙磺舒、阿司匹林、吲哚美辛、磺胺藥等可降低腎小管分泌阿莫西林。減少阿莫西林排泄,升高阿莫西林的血藥濃度。
氯黴素,紅黴素,四環素磺胺類抗生素可影響青黴素的殺菌效果,不宜與本品合用。
本品與重金屬,特別是銅、鋅和汞呈配伍禁忌。
藥物過量
如發生過量服用,應採取對症治療措施,必要時應採用血液透析的方法將本品從血循環中清除。
藥理毒理
1.藥理作用:本品為由阿莫西林鈉與舒巴坦鈉以2:1配比組成的複方製劑,其中阿莫西林與氨苄西林的抗敏感微生物作用類似,主要作用在其繁殖階段。通過抑制細胞壁粘多肽的生物合成而起作用;舒巴坦鈉能抑制大部分細菌所產生的β-內醯胺酶(Ⅱ型至Ⅳ型),其穩定性優於其它β-內醯胺酶抑制劑,它能迅速貫穿細菌細胞壁並下可逆地破壞β-內醯胺酶,使細菌恢復對阿莫西林的敏感性。
體外試驗和臨床使用結果均表明,阿莫西林對以下多數微生物有效:
革蘭氏陽性需氧微生物:糞鏈球菌、葡萄球菌屬(僅限廠β-內醯胺酶陰性菌株)、肺炎鏈球菌、鏈球菌屬(僅限於α和β溶血性菌株)。
革蘭氏陰性需氧微生物:大腸桿菌(僅限於β-內醯胺酶陰性菌株)、流感嗜血桿菌(僅限於β-內醯胺酶陰性菌株)、奈瑟氏淋球菌(僅限於β-內醯胺酶陰性菌株)、奇異變形桿菌(僅限於β-內醯胺酶陰性菌株)。
2.毒理研究:目前尚無本複方的遺傳毒性、生殖毒性和致癌性研究資料、各單藥的毒理研究可參考以下相關資料。
阿莫西林
遺傳毒性:尚無單藥的遺傳毒性研究資枓,但是本品與克拉維酸鉀以4:1混合的試驗結果表明,Ames試驗和酵母菌基因回復突變試驗結果均未發現有致突變性。小鼠淋巴瘤細胞的試驗結果為弱陽性,但是,在該試驗中。出現突變率升高趨勢的劑量下,細胞的活存也同時降低。小鼠微核試驗和小鼠顯性致死試驗結果均為陰性。
生殖毒性:在大鼠多代生殖研究中,劑量達500mg/kg/日(按體表面積計算,約為人用劑量的3倍)時,未見對生育力的損傷,對生殖功能也未見不良反應。小鼠和大鼠的生殖研究表明,在劑量達人用劑量的10倍時,未見對生育力和對胎兒的損害。但尚未在妊娠婦女中進行充分和嚴格對照的試驗。由於動物生殖研究的結果並不總是能預測人的情況、因此,只有在確認為必要時,孕婦才能使用本品。分娩過程中口服氨苄西林類抗生索的吸收量很少。豚鼠的研究表明,靜脈注射氨苄西林,可輕度降低子宮的緊張度和收縮的頻率,但是可一定程度地提高收縮的幅度和持續時間,但是,尚不知阿莫西林在臨床中使用對分娩的影響。
致癌性:尚無有關本品動物長期使用的致癌性研究。
舒巴坦
遺傳毒性:尚未見有研究報導。
生殖毒性:在給予小鼠、大鼠和他的劑量達人用劑量的10倍時,未發現本品有生育力損傷和對胎兒的毒性。但是無充分和嚴格的孕婦研究資料,動物與人的相關性尚不清。
致癌性:尚未見有研究報導。
藥代動力學
我國目前尚缺乏本品詳細的藥代動力學研究資料。
貯藏
密閉,在25℃以下乾燥處保存。配製後應立刻使用並不應冷藏。
包裝
抗生素玻璃瓶,藥用鹵化丁基橡膠塞。
(1)0.375g、0.75g每盒10瓶成20瓶;
(2)1.5g每盒10瓶,
(3)3.0g每盒8瓶成10瓶。
有效期
暫定24個月
執行標準
(1)0.375g、0.75g 國家藥品監督管理局標準(試行)YBH00342003
(2)1.5g、3.0g國家藥品監督管理局標準(試行)YBH00352003

