簡介
水躍類型水躍現象可在定常流中出現,它的特點是:在很短的距離內,水深急劇增加,流速相應減小。水躍區的水流可以分為兩部分:上部不斷翻騰鏇滾,因摻入空氣而呈白色。下部是主流,是流速急劇變化的區域。這兩部分的交界面上流速梯度很大,紊動混摻強烈,液體質點不斷地穿越交界面進行交換。在非定常流的涌波中,也可以形成翻滾前進的水躍(見“涌波”詞條)。由於水躍內部水體的強烈摩擦混摻而消耗大量機械能,因此通常把水躍作為消能的有效方式之一。
方程
水躍區的水流可以分為兩部分:上部不斷翻騰鏇滾,因摻入空氣而呈白色,下部是主流,是流速急劇變化的區域。這兩部分的交界面上流速梯度很大,紊動混摻強烈,液體質點不斷地穿越交界面進行交換。由於水躍內部水體的強烈摩擦混摻而消耗大量機械能,因此通常把水躍作為消能的有效方式之一(見水躍消能)。
水躍
(1)
。在給定Q的情況下,這是水深h的函式,稱為水躍函式θ(h)。這樣, 式(1)可以簡單地寫作θ(h1)=θ(h2)。θ(h)與h的關係曲線如(圖2)所示。躍前、躍後水深雖不相等 (h2
h1),但它們的水躍函式值卻相同,因此把它們稱為共軛水深。當已知流量、渠道斷面尺寸及一個水深時,利用式(1)可求得另一水深。對於寬為b的矩形斷面,可直接由式(1)解得:
(2)
長度
水躍
(3)
隨著躍前斷面水流湍急程度(用 Fr1表示)的不同,水躍有不同的形態。其中波狀水躍無水面鏇滾;擺動水躍有射流自底部間歇地向上竄升,鏇滾較不穩定,躍後水面波動較大。就消能效果而言,Fr1越大效果越好。
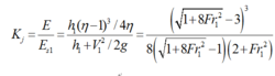
水躍消能效率
躍的消能效率用水躍消能係數Kj表示,Es1是躍前斷面比能。

對平底矩形明渠


