具體解釋
封閉管道中液體流速突然變化引起的壓力急劇變化或波動,是封閉管道中的一種非定常壓力流。水電站事故甩荷關機、水泵站斷電停泵和輸油管啟閉閥門,都會出現這種現象,並伴隨發生機械撞擊聲。水擊可導致管道系統的強烈震動,間接水擊的計算需要知道流速隨時間變化的關係,產生噪聲和氣穴。掌握水擊壓強的變化規律對輸水管道的設計。
機理
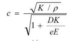
水擊封閉管道中的水擊過程是壓力波傳播的過程。假如管壁是剛性的,就水的可壓縮性來說,壓力波同聲波在水中傳播速度是一樣的,可表示為:,式中 K為水的體積彈件模量; ρ為水的密度。在常溫下, c=1425米/秒,實際上封閉管道中的壓力波傳播速度還受管壁彈性的影響,因而上式變成:計算方法
水擊式中 E為管壁材料彈性模量; D和 e為管徑和壁厚。
水擊壓力波的傳播過程如圖所示。設從水庫引水的管道長度為 L,末端裝有快速啟閉閥門。如果忽略水力損失,則管道末端的初始水頭 H等於水庫水頭 H,管內初始流速 v= v。從圖上可以看到閥門瞬間關閉後發生的水擊現象。閥門關閉後,緊靠閥門處管段 Δx的流速首先等於零。由於水流的慣性,水體被壓縮,管壁膨脹,水頭增加 ΔH並以波速 c向上游傳播,使壓頭增至 H+ ΔH。
當 t= L/c時,壓力波到達進口,此時整個管內壓頭為 H+ ΔH,流速為零。由於管內壓頭比水庫高 ΔH,為了保持平衡,管內水體倒流並產生以波速 c向下游傳播的降壓反射波,使進口壓頭恢復到初始狀態 H。
當 t=2 L/c時,反射波到達閥門,整個管內壓頭為 H,但流速 v朝向上游。由於慣性,在閥門處產生降壓 ΔH的反射波,以速度 c向上游傳播,使管內壓頭降至 H- ΔH。
當 t=3 L/c時,整個管內壓頭為 H- ΔH,流速為零。因管內壓頭比水庫低 ΔH,水庫水又流入管內, v朝向下游,在進口處產生增壓 ΔH的反射波以波速 c向下游傳播,進口壓頭回到 H。
當 t=4 L/c時,壓力波到閥門,整個管內流速和水頭恢復到初始狀態,完成了一個壓力振盪周期,以後水擊現象又重複上述過程。
因為存在水力損失,水擊壓力振幅實際上隨時間衰減,並非保持不變。
水擊壓強
水擊的基本問題是最大壓強的計算,最大壓強一般出現在發射波斷面(如閥門處)。根據上述波動過程可以繪出理想水擊時閥門處的壓強隨時間變化圖。當t=2l/c時,壓強突然降低,這是由於反射波回到閥門。實際水擊過程仍然存在反射波改變閥門壓強的作用。所以,當閥門關閉尚未到達2l/c的時間時,閥門處流速不斷降低,壓強不斷增高。當閥門關閉時間超過2l/c時,由於反射波已回到閥門,使壓強降低。故有直接水擊和間接水擊的不同計算方法。
分類
水擊按閥門啟閉時間和波的往返傳播時間的關係可分為直接水擊和間接水擊。
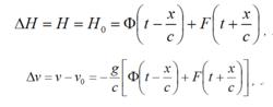
若閥門關閉時間 T≤ 2L/c,在來自進口的反向波到達管末端前,閥門已關閉,管末端水擊只受正向波影響,此壓力過程稱為直接水擊。這時 v=0,F(t+x/c)=0,由上兩式得直接水擊計算公式: ΔH= cv/g 。
若閥門關閉時間 T> 2L/c,在來自進口的反向波到達管末端前,閥門尚未關閉,這時水擊是由閥門處產生的正向波和從上游來的反向波疊加而成,此壓力過程稱為間接水擊。間接水擊的計算有解析法(用連鎖方程求解)、圖解法和特徵線法等。對簡單管道,可採用前兩種方法,對邊界條件複雜的管道採用後一種方法利用電子計算機計算較為方便。
設計某些管道應考慮水擊壓力,必要時可在管道適當的位置設調壓塔或減壓閥,以削減水擊壓力,防止管道破壞事故。
基本方程
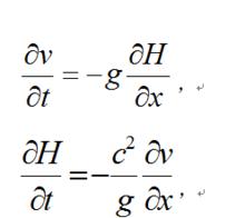
假設管壁不變形,且忽略水力損失項和非線性項,並令 p= γH( γ為水的比重),則管道非定常壓力流的基本方程(見壓力流)可簡化為:
水擊式中 v和 H為瞬變流速和水頭; c為波速; x和 t為距離和時間; g為重力加速度。上式一般積分的形式為:
水擊式中 Φ為順 x軸的正向波; F為逆 x軸的反向波; v為管內的初始流速。
由於計算機的普遍使用,現多採用數值計算方法,如特徵線法,隱式有限差分法和有限體積法。
計算方法
(1)解析法
解析法的基本原理是,將水擊基本方程組化為波動方程並求其通解,結合邊界條件及初始條件可逐步求得任意時刻的任意斷面上的水擊壓強,其物理意義明確,套用簡單,多適用於不計阻力的管路系統。
(2)圖解法
圖解法以解析法導出的關係式為基礎進行圖解。圖解法的複雜程度由管道系統的複雜性來決定,管道越複雜且摩阻損失占比重越大、水擊波反覆傳播次數越多,圖解法計算過程也越複雜,同時計算精度也較低,限制了對工程水擊問題的研究和解決。
(3)有限差分法
有限差分法(Finite Difference Calculus)用差商來代替控制方程中的導數,解出格線點上的函式值從而確定流體的參數。有限差分法分為顯式和隱式兩種格式。隨著差分方法的發展,產生了眾多不同精度的差分格式,但在收斂性、穩定性等方面,有待解決的問題仍然不斷出現。
(4)特徵線法
該方法將考慮管道摩阻的水擊偏微分方程沿其特徵線變換為全微分方程,再近似的變成差分方程,然後進行數值計算。這種方法便於建立求解微分方程的穩定準則,計算精度高,容易處理邊界條件,可用於複雜系統的計算,編製程序也比較方便。目前特徵線法是水擊計算最主要方法之一。
(5)有限體積法
有限體積法通常用來求解雙曲線方程的情況,比如氣體動力學以及淺水波的問題。採用有限體積法的優勢主要在於(1)能夠保持質量方程和動量方程的完整性,(2)對沒有振盪的非連續性問題能有很好的解。
預防措施
水擊壓強是巨大的,這一巨大的壓強可使管路發生很大的變形,甚至爆炸。為了預防水擊的危害,可在管路上設定空氣室,或安裝具有安全閥性質的水擊消除閥,如安全閥。 具體措施如下:
(1)適當加大管徑,限制管道流速。一般在液壓系統中把速度控制在4.5m/s以內,△P不超過5MPa就可以認為是安全的。
(2)正確設計閥口或設定制動裝置,使運動部件制動時速度變化比較均勻。
(3)延長閥門關閉和運動部件制動換向的時間,可採用換向時間可調的換向閥。
(4)儘量縮短管長,以減小壓力衝擊波的傳播時間。
(5)在容易發生液壓衝擊的部位採用橡膠軟管或設定蓄能器,以吸收衝擊壓力;也可以在這些部位安裝安全閥,以限制壓力升高。
參考文獻
1.詞條作者:董興林《中國大百科全書》74卷(第一版)力學 詞條:流體力學 中國大百科全書出版社 ,1987 :438頁

