漢語詞義
詞目:砰擊; 拼音:pēngjī; 注音:ㄆㄥ ㄐㄧ; 解釋:撞擊;衝擊。
示例:清 陳維崧 《念奴嬌·周弇山攜雨具八關齋快飲風雨颯至》詞:“狂颷挾雨,恰冰車鐵騎,一時砰擊。” 梁啓超 《劫灰夢·獨嘯》:“迴風砰擊,怒潮傾瀉,萬斛艨艟東下。”
基本概念
砰擊(slamming)船舶在惡劣的海況中航行時,由於劇烈的剛體運動,所發生的波浪與船體的衝擊現象。船底抬出水面後再次入水時,波浪與船底結構(主要發生乾艏部)的衝擊,稱為底部砰擊。波浪與具有外張型式的船側結構的衝擊,稱為外張砰擊。波浪漫過乾舷與甲板結構的衝擊,稱為甲板衝擊或甲板上浪。對於淺吃水且底部平坦的船舶(如登入艦,壓載狀態下的肥大型散貨船),底部砰擊現象比較嚴重。對於艏部有著較大外張的船舶(如驅逐艦,航空母艦,貨櫃船),外張砰擊現象較為突出。對於乾舷較低的船舶(如滿載狀態的油船及散貨船),甲板上浪現象經常發生。
描述砰擊特性的參數有兩類:一類是單位時間內的砰擊發生次數及砰擊機率,用以表征砰擊發生的頻率;另一類是砰擊壓力及砰擊彎矩,用以表征砰擊載荷的強度。在砰擊過程中,一方面可能使砰擊區域的局部結構在砰擊壓力作用下直接遭到破壞(屬於局部強度問題),另一方面由於船體梁在砰擊時的彈性振動,產生較大的砰擊彎矩,也會嚴重地成肋啪骨體結構的總縱強度(屬於總強度問題)。
分類
圖1對於船舶與海洋工程界水動力砰擊的分類可參考“造船與輪機工程師學會”(Society ofNaval Architects and Marine Engineers,SNAME)的解釋。船舶水動力砰擊可以分為四大類:艏底砰擊,波浪拍擊,艏外飄衝擊及甲板上浪。
艏底砰擊描述船首在洶濤中拍擊水面,如圖1(a)所示。船首出水再入水時會以較高的速度拍擊水面,這將產生巨大的水動壓力,該載荷作用於局部結構,隨後將傳至整個船體。巨大的脈衝壓力必然引起局部結構的破壞與變形,整個船體也會產生高頻振動回響。
波浪拍擊常用來描述波系與船首部結構的作用。很容易可以觀察到入射波系向相對靜止的船舶結構傳遞能量,波浪拍擊常出現在船舶的水線面附近。
船舶的艏外飄與來波相撞擊時,即發生艏外飄衝擊。與艏底砰擊相似,艏外飄砰擊會產生巨大的水動力並引發高頻振動,與之不同的是艏外飄衝擊作用時間更長,巨大的水動力砰擊載荷作用在船舶的位置也不同,並且巨大的水動壓力會覆蓋整個艏部。因此,對於艏底砰擊適用的預報技術不一定適合預報艏外飄衝擊。圖1(b)是典型的艏外飄衝擊和甲板上浪圖。
甲板上浪描述艦船穿行至入射波系的水面以下或者一頭扎進來波,水波破碎並衝到船舶甲板上,形成甲板上浪,所產生的壓力可以破壞甲板及其上部結構。圖1(c)是一個甲板上浪的二維實驗圖。以上描述的船舶與海洋工程方面的水動力砰擊現象常常是兩到三種一併出現,如艏外飄砰擊與甲板上浪常常一起出現。
發射砰擊的條件
底部砰擊
底部出水是發生底部砰擊的必要條件。不管海情、航速、航向角和裝載情況如何,船底不出水,就從不出現底部砰擊。然而,它並不是底部砰擊的充分條件。試驗表明,當船回落拍打水面時,只有垂向相對速度超過了某個“臨界速度”或“閾速度”(threshold velocity),才產生可計量的砰擊壓力或明顯的加速度突變。習慣上,常把產生可計量的壓力定義為砰擊發生。因此,臨界速度就是發生砰擊的最小相對速度。
對於臨界速度的概念,可以這樣粗略地理解:因為大量的試驗證實了砰擊壓力近似正比於相對速度的平方,所以,若使底部擊水時產生明顯的壓力,必須要求相對速度適當的大。
Ochi通過對模型試驗結果的分析,建議對158.5m的船,臨界速度Z取為3.66m/s,船長改變時按傅汝德定律換算,即
砰擊式中:L——船長;g——重力加速度。
圖2需要指出的是,如果砰擊的出現不是按產生可計量的壓力來定義,則其對應的臨界速度值自然也就不同。Aertssen在Jordaens號(船長146.3m)上做試驗,求得的臨界速度是5.49m/s。這並不奇怪,Aertssen定義的砰擊與前述不同,他指的實際是可以引起船舶在風暴中顯著減速的那種嚴重砰擊。如按前述產生可計量壓力的觀點,那么,Aertssen的臨界速度數值將會大大減小。
在圖2中,存在空間固定坐標O-XYZ、隨船平動坐標系o-xyz及固連船體坐標系G-xyz。設縱搖角為θ,垂盪位移為Z,波面坐標為ζ,那么,在x剖面處,船與波浪的相對位移將是
砰擊
砰擊砰擊的發生,涉及的是船舶與波浪在空間的相對位置。因此,這時的垂向相對速度,應等於上式在平動坐標系o-xyz下對時間求導
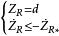
砰擊記x剖面的靜吃水為d,注意到發生砰擊時相對速度是負的,則該剖面發生底部砰擊條件的數學表達式為
砰擊外飄砰擊
對於具有首部外飄的剖面,當船在波浪中作大幅運動時,一般地說都會出現外飄砰擊。
若不計垂向相對速度的限制,注意到外飄砰擊出現在外飄剖面下落之時,因此外飄砰擊的發生條件可寫成
砰擊甲板上浪
在船舶運動過程中,海水湧上甲板的情況是比較複雜的。例如,具有首部外飄的船舶,在某些條件下,即使波面高於乾舷,上升的海水卻可能部分甚至全部以“飛濺”的方式離開船側。這就是說,實際的上浪程度與首端的相對位移、相對速度以及船首外飄的幾何形狀等許多因素有關。
從工程套用出發,假設來波不受船體存在和運動的干擾,簡單地認為當波面超過乾舷時即發生上浪。這可理解為,我們所討論的是指海水從首柱頂部流向甲板,即所謂“鑽浪”時的情況。為簡單計,此處也暫不考慮因船的運動而產生的首波的影響(田才計及了這一因素,並給出水面升高的經驗公式)。
若用D表示首柱剖面的乾舷高度,注意到上浪過程中垂向相對位移為負,發生甲板上浪的條件則為
砰擊
