藥品簡介
通用名 氫化可的松片
英文名 HYDROCORTISONE TABLETS
拼音名 QINGHUAKEDISONG PIAN
藥品類別 腎上腺皮質激素類
貯藏 遮光,密閉保存。
主要成分
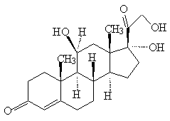
結構式通用名 氫化可的松
化學名 11β,17α,21-三羥孕甾-4-烯-3,20-二酮
拼音名 QINGHUAKEDISONG
英文名 HYDROCORTISONE
CAS No. 50-23-7
分子式 C21H30O5
分子量 362.47
藥理毒理
本品為糖皮質激素類藥物。具有抗炎、抗毒、抗休克和免疫抑制等多種藥理作用。
(1)抗炎作用:對除病毒外的各種病因引起的炎症均有作用,糖皮質激素減輕和防止組織對炎症的反應,從而減輕炎症的症狀,亦可抑制炎症後期組織的修復,減少後遺症。
(2)免疫抑制作用:防止或抑制細胞中介的免疫反應,延遲性的過敏反應,並減輕原發免疫反應的擴展。
(3)抗毒、抗休克作用:糖皮質激素能提高機體的耐受能力,減輕細胞損傷,發揮保護機體的作用。還有擴張血管,增強心肌收縮力,改善微循環作用。
藥代動力學
本品極易自消化道吸收,約1小時血藥濃度達峰值,T1/2約為100分鐘,生物半效期約8~12小時。在血中90%以上與血漿蛋白結合,其中80%與皮質激素轉運蛋白(CBG)結合,本品主要經肝臟代謝,轉化為四氫可的松和四氫氫化可的松,大多數代謝產物結合成葡糖醛酸酯,極少數以原形經尿排泄。
適應症
主要用於治療腎上腺皮質功能減退症的替代治療及先天性腎上腺皮質增生症。
不良反應
本品在套用生理劑量替代治療時一般無明顯不良反應。不良反應多發生在套用藥理劑量時,而且與療程、劑量、用藥種類、用法及給藥途徑等有密切關係。常見不良反應有以下幾類:
1.長程使用可引起以下副作用:醫源性庫欣綜合徵面容和體態、體重增加、下肢浮腫、紫紋、易出血傾向、創口癒合不良、痤瘡、月經紊亂、肱或股骨頭缺血性壞死、骨質疏鬆及骨折(包括脊椎壓縮性骨折、長骨病理性骨折)、肌無力、肌萎縮、低血鉀綜合徵、胃腸道刺激(噁心、嘔吐)、胰腺炎、消化性潰瘍或穿孔,兒童生長受到抑制、青光眼、白內障、良性顱內壓升高綜合徵、糖耐量減退和糖尿病加重。
2.患者可出現精神症狀:欣快感、激動、譫妄、不安、定向力障礙,也可表現為抑制。精神症狀尤易發生於患慢性消耗性疾病的人及以往有過精神不正常者。
3.並發感染為腎上腺皮質激素的主要不良反應。以真菌、結核菌、葡萄球菌、變形桿菌、綠膿桿菌和各種皰疹病毒為主。
4.糖皮質激素停藥綜合徵:有時患者在停藥後出現頭暈、昏厥傾向、腹痛或背痛、低熱、食慾減退、噁心、嘔吐、肌肉或關節疼痛、頭疼、乏力、軟弱,經仔細檢查如能排除腎上腺皮質功能減退和原來疾病的復燃,則可考慮為對糖皮質激素的依賴綜合徵。
禁忌症
對本品及其它甾體激素過敏者禁用。下列疾病患者一般不宜使用,特殊情況應權衡利弊使用,但應注意病情惡化可能:嚴重的精神病(過去或現在)和癲癇,活動性消化性潰瘍病,新近胃腸吻合手術,骨折,創傷修復期,角膜潰瘍,腎上腺皮質機能亢進症,高血壓,糖尿病,孕婦,抗菌藥物不能控制的黴菌感染、水痘、麻疹,較重的骨質疏鬆症等。
注意事項
1.發感染:在激素作用下,原來已被控制的感染可活動起來,最常見者為結核感染復發。在某些感染時套用激素可減輕組織的破壞、減少滲出、減輕感染中毒症狀,但必須同時用有效的抗生素治療、密切觀察病情變化,在短期用本藥後,即應迅速減量、停藥。
2.對診斷的干擾: (1)糖皮質激素可使血糖、血膽固醇和血脂肪酸、血鈉水平升高、使血鈣、血鉀下降。 (2)對外周血象的影響為淋巴細胞、真核細胞及嗜酸、嗜鹼細胞數下降,多核白細胞和血小板增加,後者也可下降。 (3)長期大劑量服用糖皮質激素可使皮膚試驗結果呈假陰性,如結核菌素試驗、組織胞漿菌素試驗和過敏反應皮試等。 (4)還可使甲狀腺131I攝取率下降,減弱促甲狀腺激素(TSH)對TSH釋放素(TRH)刺激的反應,使TRH興奮實驗結果呈假陽性。干擾促黃體生成素釋放素(LHRH)興奮試驗的結果。 (5)使同位素腦和骨顯象減弱或稀疏。
3.下列情況應慎用:心臟病或急性心力衰竭、糖尿病、憩室炎、情緒不穩定和有精神病傾向、全身性真菌感染、青光眼、肝功能損害、眼單純性皰疹、高脂蛋白血症、高血壓、甲減(此時糖皮質激素反應增強)、重症肌無力、骨質疏鬆、胃潰瘍、胃炎或食管炎、腎功能損害或結石、結核病等。
4.隨訪檢查:長期套用糖皮質激素者,應定期檢查以下項目: (1)血糖、尿糖或糖耐量試驗,尤其是糖尿病或糖尿病傾向者。 (2)小兒應定期檢測生長和發育情況。 (3)眼科檢查,注意白內障、青光眼或眼部感染的發生。 (4)血清電解質和大便隱血。 (5)高血壓和骨質疏鬆的檢查,尤其注意老年人。 (6)用藥過程中減量宜緩慢,不可突然停藥。
用藥
孕婦及哺乳期婦女用藥 (1)妊娠期用藥:本品可通過胎盤。動物實驗研究證實孕期給藥可增加胚胎齶裂,胎盤功能不全、自發性流產和子宮內生長發育遲緩的發生率。可增加胎盤功能不全、新生兒體重減少或死胎的發生率。(2)哺乳期用藥:由於本品可由乳汁中排泄,對嬰兒造成不良影響,如生長受抑制、腎上腺皮質功能抑制等。 孕婦及哺乳期婦女在權衡利弊情況下,儘可能避免使用。
兒童用藥 小兒如長期使用腎上腺皮質激素,須十分慎重。腎上腺皮質功能低下症及先天性腎上腺皮質增生症例外。
老年患者用藥 老年患者用糖皮質激素易發生高血壓及糖尿病。老年患者尤其是更年期後的女性套用糖皮質激素易加重骨質疏鬆。
藥物相互作用
1.非甾體消炎鎮痛藥可加強本品致消化道潰瘍作用。
2.可增強對乙醯氨基酚的肝毒性。
3.與兩性黴素B或碳酸酐酶抑制劑合用,可加重低鉀血症,長期與碳酸酐酶抑制劑合用,易發生低血鈣和骨質疏鬆。
4.與蛋白質同化激素合用,可增加水腫的發生率,使痤瘡加重。
5.與抗膽鹼能藥(如阿托品)長期合用,可致眼壓增高。
6.三環類抗抑鬱藥可使本品引起的精神症狀加重。
7.與降糖藥如胰島素合用時,因本品可使糖尿病患者血糖升高,應適當調整降糖藥劑量。
8.甲狀腺激素可使本品代謝清除率增加,故與甲狀腺激素或抗甲狀腺藥合用,應適當調整後者的劑量。
9.與避孕藥或雌激素製劑合用,可加強本品治療作用和不良反應。
10.與強心苷合用,可增加洋地黃毒性及心律失常的發生。
11.與排鉀利尿藥合用,可致嚴重低血鉀症,並由於水鈉瀦留而減弱利尿藥的排鈉利尿效應。
12.與麻黃鹼合用,可增強其代謝清除。
13.與免疫抑制劑合用,可增加感染的危險性,並可能誘發淋巴瘤或其他淋巴細胞增生性疾病。
14.可增加異煙肼在肝臟代謝和排泄,降低異煙肼的血藥濃度和療效。
15.可促進美西律在體內代謝,降低血藥濃度。
16.與水楊酸鹽合用,可減少血漿水楊酸鹽的濃度。
17.與生長激素合用,可抑制後者的促生長作用。
藥物過量
可引起類腎上腺皮質功能亢進綜合症。如及時發覺並停藥症狀可自行消退,症狀嚴重者可行相應對症治療。
生產企業
| 商品名 | 生產企業 | 規格 | 是否處方 | 醫保 | 批准文號 |
| 氫化可的松片 | 上海華氏製藥有限公司 | 20mg | 處方 | 是 | 國藥準字H31020747 |
| 氫化可的松片 | 山西威奇達藥業有限公司 | 20mg | 處方 | 是 | 國藥準字H14020631 |
| 氫化可的松片 | 山西省臨汾健民製藥廠 | 20mg | 處方 | 是 | 國藥準字H14021520 |
| 氫化可的松片 | 清華紫光古漢生物製藥股份有限公司 | 20mg | 處方 | 是 | 國藥準字H43021373 |
| 氫化可的松片 | 河南博泰製藥有限公司 | 20mg | 處方 | 是 | 國藥準字H52020130 |
