定義
正規擴張的定義不止一種,以下三個準則都可以刻畫正規擴張,是三個等價的定義。域擴張L/K是正規擴張若且唯若它滿足以下三個等價條件中任意一個:
1.L是多項式環K[X]中的某一族多項式的分裂域。
2.設K是一個包含了L的K的代數閉包。對於L在K上的每一個嵌入σ,只要它限制在K上的部分是平凡的(即為恆等映射:σ(x)=x),那么就有σ(L) =L。換句話說,L在K上的每一個K-嵌入σ都是一個L上的K-自同構。
3.任意一個K[X]上的不可約多項式,只要它在L中有一個根,那么就可以在L[X]分解成一次因式的乘積(或者說全部的根都在L中)。
例子
正規擴張
正規擴張
正規擴張
正規擴張
正規擴張
正規擴張
正規擴張
正規擴張
正規擴張
正規擴張
正規擴張
正規擴張
正規擴張
正規擴張
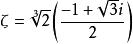
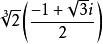
正規擴張是 的一個正規擴張,因為它是 上的多項式 的分裂域。然而, 並不是 的一個正規擴張,因為 上的不可約多項式 有一個根: 在 裡面,但它的另外兩個根: 和 都是複數,不在 裡面。只有在加入了三次單位根: 後的擴域 才是一個正規擴張。
正規擴張
正規擴張
正規擴張
正規擴張
正規擴張
正規擴張
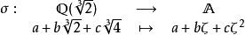
正規擴張也可以用正規擴張的第二個定義來證明 不是 的正規擴張。設域 是由所有復代數數生成的擴域,則 是 的一個代數閉包,並且 在 裡面。另一方面,
正規擴張
正規擴張
正規擴張並且,如果記 是 的復根之一,那么映射:
正規擴張
正規擴張
正規擴張
正規擴張
正規擴張
正規擴張是 在 上的一個嵌入,並且它限制在 上的部分是平凡的(將 中元素映射到自己)。但是σ並不是 上的自同構。
正規擴張
正規擴張
正規擴張
正規擴張
正規擴張
正規擴張更一般地,對每一個素數p,域擴張 都是 的一個正規擴張,擴張的次數是p(p-1)。 是 上的多項式 的分裂域。其中的 是任意一個複數p次單位根。
性質
設有域擴張L/K,那么:
1) 如果L是K的正規擴張,並且F是一個子擴張(也就是說有擴張K⊂F⊂L)那么L也是F的正規擴張。
2) 如果L的子域E和F都是K的正規擴張,那么兩者的複合擴張EF(指L的子域中同時包含E和F的最小者)以及兩者的交E∩F也都是K的正規擴張。
正規閉包
設有域擴張L/K,那么總存在域擴張M/L,使得M/K是正規擴張。在同構意義上,最小的這樣的擴張是唯一。即是說,其他的域擴張N/L如果使得N/K是正規擴張,那么總存在N/L的子擴張M'/L,使得M'同構於M。這個唯一的“最小”正規擴張M/L稱為域擴張L/K的 正規閉包。
如果L/K是有限擴張,那么它的正規閉包M/L也是有限擴張(因此M/K也是有限擴張)。
