定義
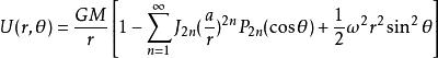
正常重力位是重力場理論中的一個基本概念。即一種正常地球模型的重力位,或平均地球橢球的重力位。其球函式級數表示式為
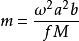
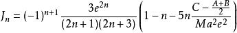
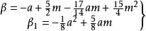
正常重力位式中係數
正常重力位G、M和ω分別為萬有引力常數、地球的質量、地球自轉角速度;A、B、C分別為主慣量,其中C是繞地心坐標極軸(z軸)的轉動慣量;a和e分別是平均地球橢球體的赤道半徑和第一偏心率;(r,θ)為子午平面地心坐標,由於旋轉橢球的對稱性,U與經度λ無關。
確定方法
確定正常重力位的方法很多,主要介紹兩種:一種叫拉普拉斯(Laplace)方法。它是將重力位函式W按球諧函式展成級數,選取級數的頭幾項,略去餘項,所得的近似重力位作為正常重力位。另一種方法叫斯托克斯(Stokes)方法。它是已知旋轉橢球體的表面形狀S,以及它的總質量M和旋轉角速度ω,然後用數學方法求得該旋轉橢球體的重力位,並把它當成正常重力位。
拉普拉斯方法
用球諧函式表示的地球重力位函式:
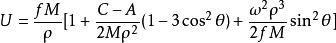
正常重力位選取頭幾項作為正常重力位。項數選取多少,需視實際觀測資料的精度和對正常重力位要求的精度而定。若選取前3項,所得正常重力位為:
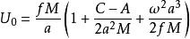
正常重力位當令U=常數,就可得到一簇正常位水準面,其中有一個是非常接近於大地水準面的。它通過ρ=a,θ=π/2處,因此這個水準面上的正常重力位值為:
正常重力位斯托克斯方法
該法是任意選擇一個近似於地球平均水準面的旋轉橢球面作為正常位水準面,並且已知其內部質量和旋轉角速度,然後求得其外部位作為地球正常位。這種選擇方法更方便實用,其正常重力場公式就不必採用球諧函式級數展開方法推求,而採用斯托克斯理論直接導出其嚴密公式(封閉公式)。在推求公式時,引入了橢球正交坐標系,這裡直接給出旋轉橢球上的正常重力公式(又稱索米里安公式):
正常重力位式中,B是大地緯度(橢球面法線與赤道面的交角),a、b分別為橢球的長半徑和短半徑,γ是橢球赤道上的正常重力,γ是橢球極點上的正常重力。
以上是封閉形式的公式,在實際套用中,還可導出級數展開、顧及到扁率平方級的正常重力公式:
正常重力位式中
正常重力位這就是索米里安實用公式,又稱二級小的克萊羅定理。
兩點說明:①封閉公式基礎上進行的級數展開,可根據要求的精度決定展開的項數,橢圓形狀不會因此而改變。②引入新符號:
正常重力位位函式引入
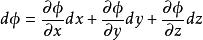
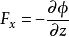
位函式即勢函式。 描述場的一種量。數值上等於單位質量的質點由無窮遠處(相對於場的作用範圍)移至該點力場所作的功。是空間坐標的函式,在其方向上的投影等於該點的場強度在同一方向上的分量。例如,設作用在質 量為m的質點上的力為F(x,y,z), 它對質點所作的功為
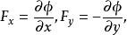
正常重力位式中d為在力作用方向上的位移; 若力F(x,y,z)只是坐標的函式,則Fdx+Fdy+Fdz恰是某一函式φ(x,y,z)的全微分,即
正常重力位
正常重力位
正常重力位
正常重力位則把函式φ(x,y,z)稱為力的位函式。力場位函式是一種標量函式。僅當空間位置的矢量函式的旋度為零時,該函式才可用一個標量函式的梯度來表示; 力的旋度為零是力場位函式存在的充要條件。在地震學中研究波的傳播時,引入標量位函式和矢量位函式,對運動方程進行分離變數處理,可得到分別用標量位函式和矢量位函式表示的兩個獨立的波動方程。前者只包含脹縮變形,後者只包含等體積的切變變形。位函式的概念使用很廣。除力場位函式外,還有表面電荷或質量分布的位函式,電荷或質量體積分布位函式以及表面上雙層偶極子分布位函式等。
