向量
在數學中,向量(也稱為歐幾里得向量、幾何向量、矢量),指具有大小(magnitude)和方向的量。它可以形象化地表示為帶箭頭的線段。箭頭所指:代表向量的方向;線段長度:代表向量的大小。與向量對應的只有大小,沒有方向的量叫做數量(物理學中稱標量)。
向量的記法:印刷體記作粗體的字母(如a、b、u、v),書寫時在字母頂上加一小箭頭“→”。[1]如果給定向量的起點(A)和終點(B),可將向量記作AB(並於頂上加→)。在空間直角坐標系中,也能把向量以數對形式表示,例如Oxy平面中(2,3)是一向量。
在物理學和工程學中,幾何向量更常被稱為矢量。許多物理量都是矢量,比如一個物體的位移,球撞向牆而對其施加的力等等。與之相對的是標量,即只有大小而沒有方向的量。一些與向量有關的定義亦與物理概念有密切的聯繫,例如向量勢對應於物理中的勢能。
幾何向量的概念線上性代數中經由抽象化,得到更一般的向量概念。此處向量定義為向量空間的元素,要注意這些抽象意義上的向量不一定以數對表示,大小和方向的概念亦不一定適用。因此,平日閱讀時需按照語境來區分文中所說的"向量"是哪一種概念。不過,依然可以找出一個向量空間的基來設定坐標系,也可以透過選取恰當的定義,在向量空間上介定範數和內積,這允許我們把抽象意義上的向量類比為具體的幾何向量。
向量組就是多個向量的組合。
正交
在三維向量空間中, 兩個向量的內積如果是零, 那么就說這兩個向量是正交的。正交最早出現於三維空間中的向量分析。 換句話說, 兩個向量正交意味著它們是相互垂直的。若向量α與β正交,則記為α⊥β。
對於一般的希爾伯特空間, 也有內積的概念, 所以人們也可以按照上面的方式定義正交的概念。 特別的, 我們有n維歐氏空間中的正交概念, 這是最直接的推廣。
和正交有關的數學概念非常多, 比如正交矩陣, 正交補空間,施密特正交化法,最小二乘法等等。
另外在此補充正交函式系的定義:在三角函式系中任何不同的兩個函式的乘積在區間[-π,π]上的積分等於0,則稱這樣的三角函式組成的體系叫正交函式系。
定義
正交向量組是一組非零的兩兩正交(即內積為0)的向量構成的向量組。
求解方法:施密特正交化
高等代數中,歐式空間的一組線性無關的向量張成一個子空間,那么這一組向量就稱為這個子空間的一個基。施密特正交化提供了一種方法,能夠通過這一子空間上的一個基得出子空間的一個正交基,並可進一步求出對應的標準正交基。從幾何上說,正交基就像一個歐式空間的直角坐標系,比如三維空間的x軸,)軸,:軸,沒有正交化的就是非歐幾何,如用(1,0,0),X1,1,0),(1,1,1)也可以作為一組基,但別的向量用這組基表示不方便。其實用正交基的好處在於數值計算上,不用正交基的話計算不穩定,會隨著計算過程逐步積累誤差,可能會使得誤差過大而使計算結果根本不可用,而正交基則不會發生這種問題。
正交向量組
正交向量組
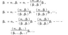
正交向量組設n維歐式空間,、是空間向量,將施密特正交化的過程如下:
第一步:正交化
正交向量組第二步:單位化
正交向量組舉例
設有 R^3中的標準單位向量 е ₁=(1,0,0), е₂=(0,1,0), е₃=(0,0,1)。則
( е ₁, е₂)=0, ( е ₁, е₃)=0,( е₂, е₃)=0.
所以{ е ₁, е₂,е₃}是一個正交向量組。

