簡介
歐拉在研究一些物理問題,如熱的傳導、圓膜的振動、電磁波的傳播等問題時,常常碰到如下形式的方程:
ax²D²y+bxDy+cy=f(x)
其中a、b、c是常數,這是一個二階變係數線性微分方程。它的係數具有一定的規律:二階導數D²y的係數是二次函式ax²,一階導數Dy的係數是一次函式bx,y的係數是常數。這樣的方程稱為歐拉方程。
例如:(x²D²-xD+1)y=0,(x²D²-2xD+2)y=2x³-x等都是歐拉方程。化學中足球烯即C-60和此方程有關。
其它
泛函形式
歐拉方程是泛函極值條件的微分表達式,求解泛函的歐拉方程,即可得到使泛函取極值的駐函式,將變分問題轉化為微分問題。
(1) 最簡單的歐拉方程是:
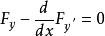
歐拉方程設函式F(x,y,y') 是三個變數的連續函式,且點(x,y)位於有界閉區域B內,則對形如的變分,若其滿足以下條件:
歐拉方程c) 在有界閉區域B記憶體在某條特定曲線y(x) ,使泛函取極值,且此曲線具有二階連續導數。
則函式y、(x) 滿足微分方程:
歐拉方程上式即為泛函Q[y]的歐拉方程。
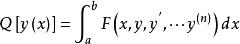
(2)含有自變函式高階導數的泛函的歐拉方程
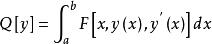
一般來說,對於下述泛函:
歐拉方程在類似條件下,可以得到對應的歐拉方程為:
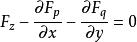
歐拉方程(3)含有多個自變函式的泛函的歐拉方程
對於下述泛函:
歐拉方程
歐拉方程其歐拉方程組為:
(4)多元函式的泛函及其歐拉方程
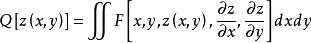
此處僅考慮二元函式的情況,對如下所示多元函式的泛函:
歐拉方程其歐拉方程為:
歐拉方程套用
在物理學上,歐拉方程統治剛體的轉動,可以選取相對於慣量的主軸坐標為體坐標軸系,這使得計算得以簡化,因為我們如今可以將角動量的變化分成分別描述的大小變化和方向變化的部分,並進一步將慣量對角化。
在流體動力學中,歐拉方程是一組支配無粘性流體運動的方程,以萊昂哈德·歐拉命名。方程組各方程分別代表質量守恆(連續性)、動量守恆及能量守恆,對應零粘性及無熱傳導項的納維-斯托克斯方程。
歷史上,只有連續性及動量方程是由歐拉所推導的。然而,流體動力學的文獻常把全組方程——包括能量方程——稱為“歐拉方程”。跟納維-斯托克斯方程一樣,歐拉方程一般有兩種寫法:“守恆形式”及“非守恆形式”。守恆形式強調物理解釋,即方程是通過一空間中某固定體積的守恆定律;而非守恆形式則強調該體積跟流體運動時的變化狀態。
歐拉方程可被用於可壓縮性流體,同時也可被用於非壓縮性流體——這時應使用適當的狀態方程,或假設流速的散度為零。本條目假設經典力學適用;當可壓縮流的速度接近光速時,詳見相對論性歐拉方程。
推導過程
如下圖
1
2
3
