定義
歐幾里得度量(euclidean metric)(也稱歐氏距離)是一個通常採用的距離定義,指在m維空間中兩個點之間的真實距離,或者向量的自然長度(即該點到原點的距離)。在二維和三維空間中的歐氏距離就是兩點之間的實際距離。
計算公式
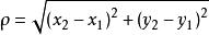
二維空間的公式
歐幾里得度量
歐幾里得度量
歐幾里得度量
歐幾里得度量
歐幾里得度量
歐幾里得度量
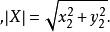
歐幾里得度量其中, 為點 與點 之間的歐氏距離; 為點 到原點的歐氏距離。
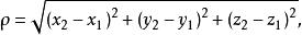
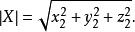
三維空間的公式
歐幾里得度量
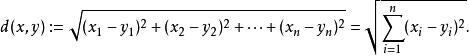
歐幾里得度量n維空間的公式
歐幾里得度量歐氏距離變換
所謂歐氏距離變換,是指對於一張二值圖像(在此我們假定白色為前景色,黑色為背景色),將前景中的像素的值轉化為該點到達最近的背景點的距離。
歐氏距離變換在數字圖像處理中的套用範圍很廣泛,尤其對於圖像的骨架提取,是一個很好的參照。
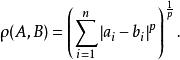
閔氏距離
又叫做閔可夫斯基距離,是歐氏空間中的一種測度,被看做是歐氏距離的一種推廣,歐氏距離是閔可夫斯基距離的一種特殊情況。
歐幾里得度量定義式:
歐幾里得度量
歐幾里得度量閔可夫斯基距離公式中,當時,即為歐氏距離;當p=1時,即為曼哈頓距離;當時,即為切比雪夫距離。

