定義
橢圓型偏微分方程是偏微分方程的一個類型,簡稱橢圓型方程。這類方程主要用來描述物理只能的平衡穩定狀態,如定常狀態下的電磁場、引力場和反應擴散現象等。
橢圓型方程是由方程中主部的係數來界定的。對兩個自變數的二階線性或半線性方程
橢圓型偏微分方程[一類重要的偏微分方程]
橢圓型偏微分方程[一類重要的偏微分方程]在不等式 成立的區域內,就稱方程是橢圓型的。
此時,可以通過自變數的非奇異變換將方程化為標準型
橢圓型偏微分方程[一類重要的偏微分方程]
橢圓型偏微分方程[一類重要的偏微分方程]對於高階線性方程,設階線性偏微分運算元為
橢圓型偏微分方程[一類重要的偏微分方程]
橢圓型偏微分方程[一類重要的偏微分方程]其中,。該偏微分運算元的主部是
橢圓型偏微分方程[一類重要的偏微分方程]
橢圓型偏微分方程[一類重要的偏微分方程]
橢圓型偏微分方程[一類重要的偏微分方程]
橢圓型偏微分方程[一類重要的偏微分方程]
橢圓型偏微分方程[一類重要的偏微分方程]
橢圓型偏微分方程[一類重要的偏微分方程]若對 及任意非零向量 都有,則稱方程 在點 是橢圓型的。如果中是線性橢圓型方程。
種類
線性
線性橢圓型方程的典型代表是拉普拉斯方程(也叫調和方程)
橢圓型偏微分方程[一類重要的偏微分方程]
橢圓型偏微分方程[一類重要的偏微分方程]其中,,這個運算元叫拉普拉斯運算元 (Laplace operator),也叫調和運算元。
可以說,調和方程是最基本,同時也是最重要的線性橢圓型方程。
非線性
對於非線性方程,也可以定義橢圓型方程。
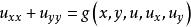
例如,考慮二階實係數擬線性方程
橢圓型偏微分方程[一類重要的偏微分方程]
橢圓型偏微分方程[一類重要的偏微分方程]
橢圓型偏微分方程[一類重要的偏微分方程]
橢圓型偏微分方程[一類重要的偏微分方程]其中,。如果對任意非零向量, 及,有
橢圓型偏微分方程[一類重要的偏微分方程]
橢圓型偏微分方程[一類重要的偏微分方程]就稱方程是中的擬線性橢圓型方程。類似地,可以定義高階擬線性橢圓型方程。
![橢圓型偏微分方程[一類重要的偏微分方程] 橢圓型偏微分方程[一類重要的偏微分方程]](/img/c/73d/nBnauM3X3MTNzYjM5MTMzUTN1UTM1QDN5MjM5ADMwAjMwUzLzEzLyUzLt92YucmbvRWdo5Cd0FmLzE2LvoDc0RHa.jpg)
