機率數論
正文
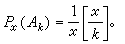
研究數論函式的分布問題。機率數論開始於1917年G.H.哈代與S.A.拉馬努金關於數論函式ω(n)的研究。此處ω(n)表示n的不同素因子的個數,例如ω(1)=0,ω(2)=1,ω(20)=2,ω(30)=3。對於任意的k,當n為k個不同素數之積時,有ω(n)=k。特別,當n=p為素數時,有ω(p)=1。所以ω(n)(n=1,2,…)的分布很不規則,它可以取任意大的整數值,而又無窮多次取值1及2,3等。因此,研究ω(n)的值分布就從研究ω(n)在區間【1,x】中的期望值入手,其中x是大於或等於2的整數。命Ak表示區間【1,x】中為k所整除的整數組成的集合,Px(Ak)表示Ak的機率。例如當x=100時,

,所以當x充分大時,有 
,
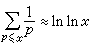
(見素數分布)。 命ψ(y)為任何當y趨於無窮時亦趨於無窮的函式,則
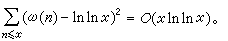
。 這就說明在 ω(n)(1≤n≤x)中,只有極少數是偏離ln lnx 的。
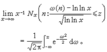
1934年,P.圖蘭進而證明了

又命
。假定B(x)→∞(當x→∞時),則
,
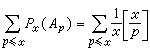
當取ƒ(n)=ω(n),則得

參考書目
P.D.T.A.Elliott,Probabilistic Number Theory,Ⅰ,Ⅱ,ASer.Comp.Stu.Math.,Spr.Ver.,No.239,240,1980.

