簡介
在構造應力場研究中,我們只能知道構造運動結果(例如地表或基岩的變形和破裂情況:地震得震源和震級等),而要尋找的是造成這些結果的力源,這是一個反序的問題。在構造力場求解中,通常無法知道初始應力狀態,不易弄清楚深部構造的情況和深部地質體的力學性能,只能進行模擬或假想研究。
分類
按其成因,構造應力可分為慣性應力、重應力、熱應力、濕應力四類。在大小和成因的統一性上,構造應力可分為基本應力和附加應力。前者是構成地殼構造應力的基礎應力,屬一級構造力,地球勻速和變速自轉引起的應力屬於此類;在空間上分為垂向主應力和水平最大主應力及水平最小主應力,垂向主應力是由靜岩壓力所引起的,而兩個水平主應力則是由構造運動引起的,因而人們常把地應力稱為構造應力。從活動的地質時期劃分:新近紀以前的構造應力場稱為古構造應力場,新近紀以來的構造應力場稱為現代構造應力場。
模型
Vening-Meinez模型為了分析地殼上部任何一點應力的作用方式,Vening-Meinez採用了一種簡便的方法。在地球中,採用球體坐標,從地殼上層取一單元體,以地心為原點,設所取的單元體的六個面均為主平面。
由沿BB'方向的力平衡條件:
構造應力
構造應力
構造應力
構造應力
構造應力代入平衡方程式
構造應力略去高階無窮小量:
構造應力
構造應力
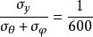
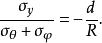
構造應力註:ABCD是地球水平面。
構造應力上式說明,平行於水平面的各個應力分量總和的絕對值與垂直方向應力分量絕對值之比,等於地球半徑與受應力作用岩層的深度d之比。如若受構造應力作用影響的地殼深度為2km的話,地球半徑以6000km計算,則垂直應力分量約占水平應力分量總和的1/3000。若受構造應力影響的地殼深度為10km,則 ,從此可以看出:水平應力分量的重要性遠遠超過垂直應力分量 。
誘發微震
各種地殼構造運動作用力的影響下,地殼中所產生的應力稱為構造應力。
斷層是岩體在構造應力作用下發生的破裂,是沿破裂面兩側的岩體發生顯著位移或失去連續性和完整性而形成的一種構造形跡。 根據斷層面,即岩石的裂縫和兩塊岩石運動過程中產生的裂縫,位置的不同特徵,科學家將斷層分為3種類型,正斷層,逆斷層,平移斷層。
構造應力對斷層作用引起斷層的錯位移動,就會在斷層的附近引起大量的微震事件 。
圍岩穩定性
隨著巷道軸向與構造應力場方向(最大水平主應力方向)夾角(0°-90°)的增大,巷道圍岩受力狀況逐漸趨於惡化,兩幫變形量明顯增大,安全率降低,對於岩性較差時這一趨勢尤為突出。因此,在深井開採時,在大的方面首先選擇適宜的採礦方法,如充填法,避免因構造應力而對巷道產生過大的應力集中。在布置采準切割巷道時,為了減輕巷道圍岩的變形與破壞程度,巷道軸線方向儘可能與最大水平主應力方向趨於一致。當巷道不可避免地受水平應力影響時,巷道軸線儘量與構造應力以小角度相交,並且採用適當的斷面形狀,使斷面形狀與構造應力狀態相適應。在滿足安全生產和便於施工的前提下,巷道最好採用寬度大於高度的矩形、拱形及橢圓形巷道。因構造應力對深井巷道圍岩產生的應力較大,在支護巷道時,要從能量平衡角度出發,也就是支護系統在保持持續提供抗力的前提下,能夠吸收圍岩變形釋放出來的能量,在支護方式上,一般採用塑性支護構件 。

