基本介紹
條件等式條件等式(conditional equality)是一種常見的等式,若一個等式在所討論的範圍內僅當滿足某些條件時才能成立,則稱這個等式為 條件等式。換言之,在等式所討論的範圍內,當取某些對象時等式成立,而取另外一些對象時等式不成立,這樣的等式稱為條件等式。例如在複數範圍內, 是條件等式,該等式成立的條件是
條件等式
條件等式三者之一為0。 條件等式與 絕對等式都是相對的,例如等式 ,在實數範圍內,它是條件等式;而在該等式的定義域(正的實數集)上是恆等式。對於方程這個等式,當求解範圍所構成的集合A與解集B相等時,方程是絕對等式;而當B是A的真子集時,方程是條件等式;當B為空集時,方程為矛盾等式 。
三種等式
等式是表示兩個數(量)或兩個解析式(由一系列運算符號把數和字母連線起來的表達式叫做 解析式)相等關係的式子,叫做 等式。
等式可以分為三類t
(1) 恆等式。不論等式中所含有的字母符號取什麼樣的值,都能使等式兩邊的值相等,這樣的等式叫做恆等式。如3+5=8,a+a+a=3a等都是恆等式。
(2) 條件等式。只有當等式中所含有的字母符號取某些值時,等號兩邊的值才相等,這樣的等式叫做條件等式.如2x=6,只有當x=3時,等號兩邊的值才相等,所以它是條件等式。
(3) 矛盾等式。形式上用等號連線起來,實際上在指定的數的範圍內,找不到字母符號所取的值能使等號兩邊的值相等,這樣的式子叫做矛盾等式。如a+1=a+2就是矛盾等式 。
條件等式常用結論
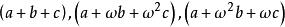
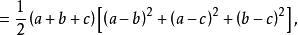
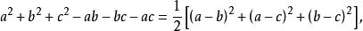
條件等式1.
條件等式若,則。
條件等式2.
條件等式
條件等式
條件等式
條件等式若,則或。

