簡介
流體流動出現內部間斷(如激波)時,此處微分方程失去了意義,需要用間斷面兩側各力學量之間物理上存在的關係,即Rankine-Hugoniot條件作為特殊的邊界條件,稱為跳躍條件。它作為流動的內邊界條件並保證解的唯一性所必須。
Rankine-Hugoniot條件
Rankine-Hugoniot條件,也稱為Rankine-Hugoniot跳躍條件或Rankine-Hugoniot關係,描述了流體中一維流動中衝擊波兩側的狀態與固體中的一維變形之間的關係。 他們被認定為蘇格蘭工程師和物理學家威廉·約翰·麥克康蘭金和法國工程師皮埃爾·亨利·胡戈尼奧(Pierre Henri Hugoniot)所開展的工作。另見Salas(2006)有一些歷史背景。
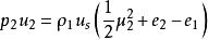
在與衝擊相關的坐標系中,蘭金 - 胡格諾維爾條件可以表示為:
跳躍條件
跳躍條件
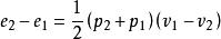
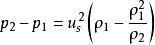
跳躍條件這裡是衝擊波速度,ρ1和ρ2是衝擊後面和內部的流體的質量密度,u2是衝擊內流體的粒子速度,p1和p2是兩個區域中的壓力,e1和 e2是兩個區域的特定(每單位質量的感覺)內部能量。 這些等式可以從下面的等式(12),(13)和(14)中直接導出。 使用蘭金 - 胡戈尼奧方程來保存質量和動量以消除我們和u2,能量守恆方程可以表示為Hugoniot方程:
跳躍條件其中v1和v2分別是每單位質量的未壓縮和壓縮的特定體積。
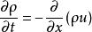
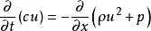
基礎:一維歐拉方程
考慮一維容器(例如,長細管)中的氣體。 假設流體是非粘性的(即,其不顯示粘度效應,例如與管壁摩擦)。 此外,假設沒有傳導或輻射的熱傳遞,並且可以忽略重力加速度。 這樣一個系統可以通過以下的守恆定律來描述,稱為1D歐拉方程,其保護形式是:
跳躍條件
跳躍條件
跳躍條件在這裡,ρ是流體質量密度[kg / m3]
u 是流體速度[m / s]
e 是流體的特定內部能量,[J / kg]
p是流體壓力,[Pa]
t是時間,[s]
x是距離,[m]
跳躍條件是流體的總能量密度[J / m3],而e是其特定內部能量[焦耳/千克]。
進一步假設氣體是熱量理想的,因此是簡單形式的多變方程狀態。
跳躍條件
跳躍條件
跳躍條件是有效的,其中 是比熱的恆定比例 。 該數量也表現為多變指數。
跳躍條件關於可壓縮流動方程的廣泛列表等,請參閱NACA報告1135(1953)。
注意:對於熱量理想的氣體γ是一個常數,對於熱理想氣體γ是溫度的函式。 在後一種情況下,壓力對質量密度和內部能量的依賴性可能與等式給出的不同。
跳躍條件
在繼續進行之前,有必要引入跳躍條件的概念 - 這種條件是不連續或突然變化的。
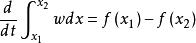
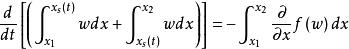
考慮一維情況,其中標量保守的物理量w跳躍,由積分守恆定律
跳躍條件對於x1,x2,因為x1<x2,所以通過偏微分方程
跳躍條件就能夠順利解決。
跳躍條件
跳躍條件
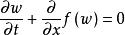
跳躍條件讓解決方案在 上展現跳躍(或衝擊),其中 和 ,然後
跳躍條件下標1和2分別表示上游和剛剛下游的條件。
上述方程式表示守恆定律的跳躍條件。 在其特徵相交的系統中出現衝擊情況,在這些條件下,對於唯一的單值解決方案的要求是解決方案應滿足可接受性條件或熵條件。 對於物理實際套用,這意味著該解決方案應滿足Lax熵條件。
衝擊Hugoniot和瑞利線固體
對於固體中的衝擊,不能從第一原理得出閉合形式表達式。 相反,實驗觀察表明,可以使用線性關係(稱為休克Hugoniot在我們的平面),具有形式
跳躍條件其中c0是材料中的體聲速度(單軸壓縮),s是從擬合到實驗數據獲得的參數(衝擊Hugoniot的斜率),up = u2是壓縮區域後面的粒子速度
當與質量和動量守恆的Hugoniot方程組合時,上述關係可用於確定p-v平面中的衝擊Hugoniot,其中v是比體積(單位質量):
跳躍條件還可以使用狀態的替代方程,例如Mie-Gruneisen狀態方程,而不是上述等式。
衝擊Hugoniot描述了所有可能的熱力學狀態的軌跡,材料可以存在於衝擊後面,投影到二維狀態平面上。因此,它是一組平衡狀態,並沒有具體表示材料經歷轉化的路徑。
弱衝擊是等熵的,等熵表示通過具有會聚特性的壓縮波將材料從初始狀態載入到最終狀態的路徑。在衝擊較弱的情況下,Hugoniot因此將直接落在等熵上,可直接用作等效路徑。在強烈的衝擊的情況下,我們不能再直接做出這種簡化。然而,對於工程計算,可以認為等熵足夠接近Hugoniot,可以做出相同的假設。
如果Hugoniot大約是“等效”壓縮波狀態之間的載入路徑,則衝擊載入路徑的跳轉條件可以通過繪製初始狀態和最終狀態之間的直線來確定。該線稱為瑞利線,具有以下等式:
跳躍條件Hugoniot彈性極限
大多數固體材料經受強烈衝擊時的塑性變形。 材料從純彈性狀態轉變為彈性塑性狀態的休克Hugoniot點被稱為Hugoniot彈性極限(HEL),該轉變發生的壓力稱為pHEL。 pHEL值可以在0.2GPa到20GPa之間。 在HEL之上,材料的剪下強度大部分損失,開始表現得像流體。
