基本介紹
定義
柯西型積分
柯西型積分
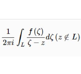
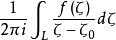
柯西型積分對於簡單光滑曲線 如果函式 在 上連續,則積分
柯西型積分存在,我們稱之為 柯西型積分 。
定理
柯西型積分
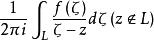
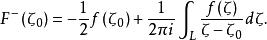
柯西型積分設 在簡單光滑曲線L上連續,則對於Z平面上任意一點 函式
柯西型積分解析,且
柯西型積分柯西型積分的主值
在L為簡單光滑閉曲線的情形下,進一步研究柯西積分的性質,為了簡單起見,將L所圍成的有界區域記作D (不妨設原點在其內部),以L為邊界的無界區域記作D 。
柯西型積分
柯西型積分
柯西型積分
柯西型積分定義1 設函式 在L上有定義,若存在常數 及 ,使得對於任意的 均有
柯西型積分
柯西型積分
柯西型積分
柯西型積分則稱 在L上滿足 赫爾德條件,並記 或簡記
柯西型積分當 時,柯西型積分
柯西型積分
柯西型積分
柯西型積分作為瑕積分一般是不收斂的,但是,如果 在L上滿足赫爾德條件,則在柯西主值意義下,積分 是收斂的,從而有確定的值。
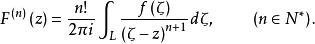
柯西型積分定理2 如果L是Z平面上一條簡單光滑閉曲線, 在L上滿足赫爾德條件,則柯西型積分(1) 在主值意義下存在,並且
柯西型積分柯西型積分的極限值
柯西型積分
柯西型積分
柯西型積分引理 如果L及 滿足定理2的條件,則對於L上任一點 ,當 時,函式
柯西型積分
柯西型積分有確定的極限值 。
柯西型積分
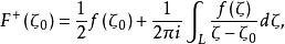
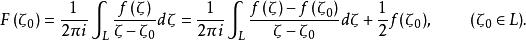
柯西型積分定理3 如果L及 滿足定理2的條件,則對於L上任一點 ,有
柯西型積分
柯西型積分其中 。
(2)稱為 薩霍茨基——普萊梅公式(簡稱普萊梅公式),它可以寫為
柯西型積分
柯西型積分也可以寫為
柯西型積分
