推導
柯西-賽格積分表示是單複變函數論中柯西型積分的推廣。
柯西-賽格積分表示
柯西-賽格積分表示
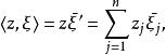
柯西-賽格積分表示多圓柱上的柯西積分公式可以看作單位圓盤上柯西積分公式的直接推廣:設f(z)在多圓柱P中全純,在上連續,則對每點,有柯西積分公式
柯西-賽格積分表示
柯西-賽格積分表示
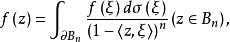
柯西-賽格積分表示單位球B上的柯西積分公式為其中σ是規範化了的∂B上的不變測度,σ(B)=1。又f(z)在B上全純,在上連續。
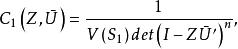
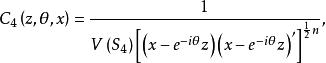
華羅庚引進並證明了在一般有界圓型星形域上,存在一類柯西積分公式,稱為柯西-賽格積分公式。作為特例,他得到了四類典型域上的柯西-賽格核,從而也得到了它們的柯西-賽格積分公式。
柯西-賽格核
柯西-賽格積分表示
柯西-賽格積分表示
柯西-賽格積分表示
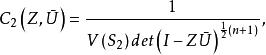
柯西-賽格積分表示四類典型域R,R,R,R的柯西-賽格核C,C,C,C分別為:其中,V(S),V(S),V(S),V(S)分別是R,R,R,R的希洛夫邊界S,S,S,S的體積。
辨析
多復變數函式的柯西積分公式和單復變數函式的柯西積分公式有兩個本質不同的地方:
1、單復變數的柯西核與域無關,而多復變數多柯西核因域而異,不同的域有不同的柯西積分公式,且對同一域也存在不同的柯西積分公式。
2、單復變數的柯西-賽格積分公式的積分是在域的全部邊界上進行的,而多復變數的柯西-賽格積分公式有時是在邊界的一部分--希洛夫邊界上進行的。
此外,看上去似乎並不複雜的球都柯西積分公式,是在1958年華羅庚得到第一類典型域R的柯西-賽格積分公式後,作為特例得到的。
