定義
如果當x→x(或者x→∞)時,兩個函式f(x)與g(x)都趨於零或者趨於無窮大,那么極限lim [f(x)/g(x)] (x→x或者x→∞)可能存在,也可能不存在,通常把這種極限稱為未定式或者未定型,分別用0/0和∞/∞來表示。
對於這類極限,不能直接用商的極限等於極限的商來求,通常用 洛必達法則(或譯作羅必塔法則; L'Hôpital Rule)來求解。
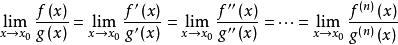
以當x→x時為例,如果符合上述條件的函式f(x)與g(x)都在x的鄰域記憶體在n階導數,那么
未定式這就是洛必達法則。
分類
未定式未定式有七類:如右圖

