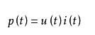
定義
記瞬時電壓為u(t),瞬時電流為i(t),瞬時功率為p(t),則:
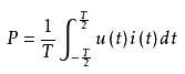
有功功率記有功功率為P,則:
有功功率對於交流電,T為交流電的周期,對於直流電,T可取任意值。
對於正弦交流電,經過積分運算可得:
有功功率上式中,U、I分別為正弦交流電的有效值,φ為電壓與電流信號的相位差。
三相電
有功功率對於三相電機,其三相電的瞬時功率之和卻是恆定值,因此,對於三相電機,其輸出轉矩無脈動。
證明如下:
假設:
Ua=Um*sin(ωt+120°)
Ia=Im*sin(ωt+120°-θ)
那么,
Pa
=Ua*Ia
=Um*Im*sin(ωt+120°)*sin(ωt+120°-θ)
=1/2*Um*Im*[cosθ-cos(2ωt+240°-θ)]
同理:
Pb
=1/2*Um*Im*[cosθ-cos(2ωt-θ)]
Pc
=1/2*Um*Im*[cosθ-cos(2ωt-240°-θ)]
P=Pa+Pb+Pc
=3/2*Um*Im*cosθ-[cos(2ωt+240°-θ)+cos(2ωt-θ)+cos(2ωt-240°-θ)]
=3/2*Um*Im*cosθ-[cos(2ωt-120°-θ)+cos(2ωt-θ)+cos(2ωt+120°-θ)]
∵cos(2ωt-120°-θ)+cos(2ωt+120°-θ)
=2cos(2ωt-θ)*cos(-120°)=-cos(2ωt-θ)
∴P=3/2*Um*Im*cosθ
即:三相電機的輸出瞬時功率為恆定值。
簡述
有功功率----保持用電設備正常運行所需的電功率,也就是將電能轉換為其他形式能量(機械能、光能、熱能)的電功率,稱為有功功率;又叫平均功率。交流電的瞬時功率不是一個恆定值,功率在一個周期內的平均值叫做有功功率,它是指在電路中電阻部分所消耗的功率,以字母P表示,單位主要有瓦(W)、千瓦(kW)、兆瓦(MW)電力系統頻率與有功功率的關係:頻率、電壓是電網電能質量的二大指標。頻率變化原因:負荷變動導致有功功率的不平衡。變化過程:負荷變化→發電機轉速變化→頻率變化→負荷的調節效應→新頻率下達到平衡。消除偏移:原動機輸入功率大小隨負荷變動而改變。
測量
測量有功功率的儀表稱為有功功率表,簡稱功率表,或功率計、瓦特計、瓦特表等。
有功功率功率計可分為:直流功率計、工頻功率計和變頻功率計。由於直流功率等於電壓和電流的簡單乘積,實際測量中,一般採用電壓表和電流表替代。工頻功率計是套用較普遍的功率計,常說的功率計一般都是指工頻功率計。變頻功率計是21世紀變頻調速技術高速發展的產物。其測量對象為變頻電量,變頻電量是指用於傳輸功率的,並且滿足下述條件之一的交流電量:
1、信號頻譜僅包含一種頻率成分,而頻率不局限於工頻的交流電信號。
2、信號頻譜包含兩種或更多的被關注的頻率成分的電信號。
變頻電量包括電壓、電流以及電壓電流引出的有功功率、無功功率、視在功率、有功電能、無功電能等。
除了變頻器輸出的PWM波,二極體整流的變頻器輸入的電流波形,直流斬波器輸出的電壓波形,變壓器空載的輸入電流波形等,均含有較大的諧波。
由於變頻電量的頻率成分複雜,變頻功率計的測量一般包括基波有功功率(簡稱基波功率)、諧波有功功率(簡稱諧波功率)、總有功功率等,相比工頻功率計而言,其功能較多,技術較複雜,一般稱為變頻功率分析儀或寬頻功率分析儀,部分高精度功率分析儀也適用於變頻電量測量。
變頻功率分析儀可以作為工頻功率分析儀使用,除此之外,一般還需滿足下述要求:
1、滿足必要的頻寬要求,並且採樣頻率應高於儀器頻寬的兩倍。
2、要求分析儀在較寬的頻率範圍之內,精度均能滿足一定的要求。
3、具備傅立葉變換功能,可以分離信號的基波和諧波。
影響
有功功率過低導致線損增加、容量下降、設備使用率下降,從而導致電能浪費加大。計算
有功功率是保持用電設備正常運行所需的電功率,也就是將電能轉換為其他形式能量(機械能、光能、熱能)的電功率。在交流電路中,電源在一個周期內發出瞬時功率的平均值(或負載電阻所消耗的功率),稱為有功功率,也叫平均功率。
在交流電路中,從相位上看,電感上的電流超前於電壓,電容上的電壓超前於電流,就是有功功率。
比如:5.5千瓦的電動機就是把5.5千瓦的電能轉換為機械能,帶動水泵抽水或脫粒機脫粒,如果電動機的效率是90%,那么將獲得4.95千瓦的機械能。有功功率的符號用P表示,單位有瓦(W)、千瓦(kW)、兆瓦(MW)。

