有功功率
有功功率是指瞬時功率在一個周期內的積分的平均值,因此,有功功率也稱平均功率。
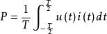
記瞬時電壓為u(t),瞬時電流為i(t),瞬時功率為p(t),則:
有功功率表記有功功率為P,則:
有功功率表對於交流電,T為交流電的周期,對於直流電,T可取任意值。
對於正弦交流電,經過積分運算可得:
有功功率表上式中,U、I分別為正弦交流電的有效值,φ為電壓與電流信號的相位差。
有功功率的單位為瓦特(W)或千瓦(kW),兆瓦(MW)。
1MW=1,000kW=1,000,000W。
分類
有功功率表可分為:直流功率表、工頻功率表和變頻功率表。由於直流功率等於電壓和電流的簡單乘積,實際測量中,一般採用電壓表和電流表替代。工頻功率表是套用較普遍的功率表,常說的功率表一般都是指工頻功率表。變頻功率表是21世紀變頻調速技術高速發展的產物。其測量對象為變頻電量,變頻電量是指用於傳輸功率的,並且滿足下述條件之一的交流電量:
常見變頻電量波形及頻譜1、信號頻譜僅包含一種頻率成分,而頻率不局限於工頻的交流電信號。
2、信號頻譜包含兩種或更多的被關注的頻率成分的電信號。
變頻電量包括電壓、電流以及電壓電流引出的有功功率、無功功率、視在功率、有功電能、無功電能等。
除了變頻器輸出的PWM波,二極體整流的變頻器輸入的電流波形,直流斬波器輸出的電壓波形,變壓器空載的輸入電流波形等,均含有較大的諧波,右圖中為常見變頻電量的波形及相關頻譜圖。
變頻功率分析儀及感測器由於變頻電量的頻率成分複雜,變頻功率表的測量一般包括基波有功功率(簡稱基波功率)、諧波有功功率(簡稱諧波功率)、總有功功率等,相比工頻功率計而言,其功能較多,技術較複雜,一般稱為變頻功率分析儀或寬頻功率分析儀,部分高精度功率分析儀也適用於變頻電量測量。 變頻功率分析儀可以作為工頻功率分析儀使用,除此之外,一般還需滿足下述要求:
1、滿足必要的頻寬要求,並且採樣頻率應高於儀器頻寬的兩倍。
2、要求分析儀在較寬的頻率範圍之內,精度均能滿足一定的要求。
3、具備傅立葉變換功能,可以分離信號的基波和諧波。
特點
有功功率表有功功率表特點:
◎直有效值測量:電壓/電流/功率/功率因數/頻率/電度/無功功率等
◎電流、電壓變比可自由設定
◎有三路可組態的報警輸出,適於各種電力控制
◎具有可組態4-20mA變送輸出
◎電源電壓 AC 90-260V 50HZ/60HZ
◎具有RS-485通信口,可選擇MODBUS RTU協定
◎可用於電力系統、工廠配電、樓宇自動化等配送電工程的自動控制。
如:三相、電壓/電流/功率、綜合顯示控制或多達六路電壓/電流顯示控制。
有功功率表技術指標:
1、接線方式
3P3L(三相三線)或3P4L(三相四線)或1P2L(單相)
2、信號輸入
電流通道:標稱輸入:AC 1A、5A
電壓通道:標稱輸入:AC 100V、400V
允許過量程:瞬時:電流10倍/5秒,電壓2倍/1秒 持續:1. 2倍
3、測量顯示範圍
面板單位為kvar時,0.000 ~9999kvar,超出顯示範圍顯示“ ----”,小數點根據量程自動切換
面板單位為Mvar時,0.000 ~9999 Mvar,小數點根據量程自動切換
4、精度:0.5%
5、絕緣強度: IEC 60255-5 2kVrms-1min
6 、環境承受能力: 工作 IEC 60068-1和2 0℃~+55℃
儲存 IEC 60068-1和2 -25℃~+70℃
濕熱 IEC 60068-1-3 93%RH 40℃
7 、使用場合:無腐蝕性氣體及金屬粉塵,海拔高度< 3000 m
8 、工作電源及功耗:AC ( 85 ~265)V或DC ( 100~275)V≤8VA

