基本介紹
定義
邏輯代數的公理具有對偶規律。相應地,邏輯表達式也有“或一與”表達式的形式,例如式(1)就是一個“或一與”表達式,括弧中的項稱為“或”項,也稱為“和”項。
最大項設有n個邏輯變數,它們組成的“或”項中,所有變數或以原變數或以反變數形式出現、且僅出現一次,則這樣的“或”項稱為n變數的 最大項。顯然,n個邏輯變數共有2 個最大項。
舉例分析
例如,對於兩個變數A、B,最多可構成4個最大項:
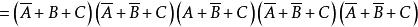
最大項對於3個變數A、B、C,最多可構成8個最大項:
最大項符號表示
最大項
最大項
最大項
最大項
最大項
最大項
最大項最大項可用符號 表示,但下標 的取值規則與最小項 的取值規則恰好相反。確定 值的方法為:先把各變數的排列順序固定下來,接著,對於某一最大項,將原變數記為0,反變數記為1,這就得到一個二進制數。該二進制數對應的十進制數就是 值。例如:對於最大項 即 。
照此,上述3個變數形成的8個最大項可表示為:
最大項
最大項最大項的性質
現在進一步討論最大項的性質。由最大項的定義和邏輯代數的公理不難證明:
性質1 對於任意一個最大項,在變數的各種取值組合中,只有一組取值能使其為0。例如,A=0、B=1、C=0時,只能使M為0。
性質2 任意兩個最大項M和M(i≠j)之和必為1。
性質3 n個變數的所有2 個最大項之積必為0。藉助普通代數的求積符號,此即:
最大項用最大項來表達邏輯函式
下面討論用最大項來表達邏輯函式。可以證明, 任何邏輯函式,總可以選擇若干個不同的 最大項相乘而得到。當邏輯函式所描述的邏輯功能一定時,這種選擇是唯一的。
最大項例如,函式的最大項表達式為
最大項
最大項
最大項
最大項
最大項
最大項上式中的最後一行,括弧內的十進制數表示參與求積運算的各個最大項M的下標值。
一般地,具有n個變數的邏輯函式,可以用形如:
最大項
最大項的方式表達,其中,是構成函式所需的最大項M的下標值。這種最大項之積的標準形式稱為邏輯函式的 最大項表達式,也稱為 和之積範式。
最大項上面推出最大項表達式的過程表明,若已知函式為“或-與”表達式,將邏輯函式轉化成最大項表達式的方法是:在每個非最大項中加上它所缺變數的“原”、“反”之積(如形式),再運用分配律將其展開,直到全部或項都變為最大項,即得已知函式的最大項表達式。

