定義
電力系統中,當電網運行狀態改變時,短路電流也發生顯著的變化,對電力系統危害最大的是短路故障,電力系統中可能發生的短路故障,主要有三相短路、兩相短路和單相短路,而過大的長時間的短路電流會損壞電力設備,為防止短路故障帶來的危害,必須設法降低短路電流或者縮短短路故障時間,縮短短路故障時間是依靠選用和整定好繼電保護裝置,在故障電流造成危害前即被自動切斷,但是從短路故障電流產生到繼電保護裝置動作這個時間段內,電力設備應能承受短路電流的衝擊。所以在設計發、變電站時,我們需要選擇開關電器和確定繼電保護裝置整定值,往往需要根據電力系統不同運行方式下的短路電流值來計算和校驗所選用電器的穩定度和繼電保護裝置的靈敏度。因此要按最大運行方式計算該電流值;當校驗繼電保護裝置的靈敏度時,又要知道最小短路電流時靈敏度係數是否合格,所以要算出最小運行方式下的最小短路電流。
與最小運行方式對比
最大方式、最小方式很多時候用在電力系統潮流、穩定計算中。最大運行方式多指最大合理開機、最大負荷時,多見於枯大、汛大;最小運行方式指開機容量少,負荷為最小時,多見於枯小、汛小。其實最大、最小運行方式的安排必須要結合電網實際容量與結構,不是憑空想像的,因在計算中多用於提前方式計算,所以要具有科學的規劃性。
最大運行方式是指系統在該方式下運行時,具有最小的短路阻抗值,發生短路後產生的短路電流最大的一種運行方式,系統中所有元件全部投入運行,選定的接地中性點全部接地。對保護來說,最大運行方式應理解為通過保護裝置的短路電流為最大的運行方式;最小運行方式是指系統在該方式下運行時,具有最大的短路阻抗值,發生短路後產生的短路電流最小的一種運行方式,根據系統長時間出現的最小負荷,投入數量最少而經濟效益最高的機組、線路和接地點。對保護來說,最小運行方式應理解為通過保護裝置的短路電流為最小的運行方式。
套用舉例
最大運行方式為了方便理解,舉一個簡單的實例。公司自備電廠,有4台60MW發電機組並聯運行,我們分別討論一下該電廠的兩種運行方式。右圖為該電廠當d1點短路時的等值網路圖,圖中阻抗均為標麼值。
最大運行方式系統對d1點短路電流標麼值:
最大運行方式故有名值:
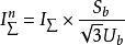
最小運行方式下,即當只有一台機組出力時,假設1號機組出力,d 點的短路電流求解如下:
最大運行方式
最大運行方式1號機組對短路點的等效阻抗為 ,為便於表述,假設經計算其 ,
最大運行方式則以1號機組為基準時電流標麼值為:
最大運行方式故有名值:
最大運行方式所 以d1點的短路電流為:
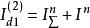
最大運行方式下,即當四台機組全部投入運行,d1 點的 短路電流求解如下:
最大運行方式
最大運行方式四台機組(型號完全相同)對短路點的等效阻抗為,為便於表述,假設經計算仍有其(要注意此時的計算電抗值是一台機組運行時計算電抗的 1/4),
最大運行方式則以四台機組為基準時電流標麼值為:;
最大運行方式故有名值:。
最大運行方式所以 d1 點的短路電流為:。
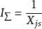
最大運行方式
最大運行方式
最大運行方式
最大運行方式很顯然是的4 倍,故遠大於。
此例說明當只有一台機組出力時,電廠端等效阻抗最大,線路短路電流在該運行方式下也就最小,此時為最小運行方式,當四台機組全部投入運行,並聯後阻抗變小,線路短路電流在該運行方式下也就最大,此為最大運行方式。當然機組全動半發另考慮。
系統在該方式下運行時,具有最小的短路阻抗值,發生短路後產生的短路電流最大的一種運行方式。一般根據系統最大運行方式的短路電流來效驗所選用的電氣設備的穩定性。
