基本介紹
系統在運行中失效一般比失效前更換帶來的損失更大,因此,預防性 更換策略(replacement policy)的研究有實際意義。
更換策略
更換策略
更換策略
更換策略
更換策略
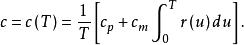
更換策略設系統的壽命分布為 ,失效前或後每更換一次的費用分別為 ,假定更換是瞬時的,記 為中更換的總費用,為長期運行下單位時間中的期望費用,問題為研究在不同的更換方式下使達最小的更換策略。
常用的更換策略
常用的更換策略有:
1. 年齡更換策略。系統在失效時或當其年齡為T時進行更換,T的確定是使長期運行下的單位時間費用最小。
2. 成批更換策略。系統在失效時或kT(k=1,2,…)時刻進行更換,T的選取使(0,T]中的平均費用最小。
3. 帶小修的更換策略。系統在kT時刻進行更換(k=1,2,…),在相鄰更換之間失效時只進行小修,使系統恢復到失效前的狀態,T的選取是使(0,T]中的平均費用最小。
還有更換依賴於系統狀態的策略,不完全小修的更換策略及費用依賴於修理次數的策略。
按年齡更換策略
按年齡更換策略(age policy)是指到一定的年齡T(若系統此時未失效)或在其失效時進行更換,此時
更換策略最佳更換年齡T*由使上式達最小而求得。
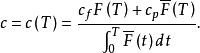
成批更換策略
更換策略成批更換策略(block policy)是指在周期時刻上或系統失效時進行更換,此時
更換策略
更換策略
更換策略其中為中失效次數,使上式達最小求出最佳更換周期T*。
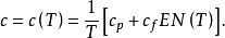
小修策略
更換策略
更換策略
更換策略
更換策略小修策略(minimal repair policy)是指系統在周期性地進行預防性更換,若在周期中失效則進行小修,使系統恢復到失效前的狀態(即小修後系統的失效率不變).若每次小修的費用為,則
更換策略使上式達最小求出最佳更換周期。
更換策略研究中更進一步的問題有考慮折扣因子,視情況更換或維修,以及費用依賴於修理次數或年齡等模型。

