種類
日負荷曲線的種類很多。按發供用電環節分,有發電日負荷曲線、供電日負荷曲線和用電日負荷曲線;按季節分,有冬季日負荷曲線和夏季日負荷曲線;按用電行業分類分,有第一產業(農業)日負荷曲線、第二產業(工業、建築業)日負荷曲線、第三產業(商業、賓館、飯店、交通運輸等)日負荷曲線和居民生活日負荷曲線,其中工業還可進一步分為冶金、化工、建材、機 械、食品、紡織、電子等行業.按有功與無功分,有日 有功負荷曲線和日無功負荷曲線 。另外,還有反映一日 內負荷水平與電盆之間關係的日電量累積曲線。 不同地區、不同季節在工作日、周休日或節日的日 負荷曲線各不相同。在實際套用中,一般採用有代表性 的典型季節的典型日負荷曲線,包括典型日負荷曲線和典型日持續負荷曲線。 根據典型日負荷曲線可以得出典型日最大(最小) 負荷和平均負荷。典型日最大(最小)負荷為每日24 個整點負荷中的最大(最小)值。典型日平均負荷為每日24個整點負荷的平均值。典型日負荷曲線中小於日最小負荷的部分稱為基荷,大於日平均負荷的部分稱為峰荷,基荷和峰荷之間的部分稱為腰荷。
作用
日負荷曲線是構成周(月)負荷曲線的基礎 。其主要作用是:①電力系統調度部門用於安排發電計畫。調度部門每日要編制出版次日的負荷曲線,以便據此安 排各電廠發電出力計畫。②電力系統計畫部門用於進 行電力系統的電力電量平衡和確定運行方式(如調峰 容量、調壓和無功補償方式等)以及進行安全分析。③ 電t泉積曲線用於電力系統電量平衡及在各種發電廠 和發電機組間進行電量分配。在確定電力系統中水電站的工作容量時,電盆累積曲線有重要意義。
影響因素
影響日用電負荷曲線的因素很多,其中負荷結構對總體日負荷曲線的影響最大,另外需求側管理措施對其也有一定影響.影響各行業日負荷曲線的因素各 不相同:農業主要受季節、雨水、排灌設備容量比重等 因素影響;工業主要受經營狀況、生產班制、生產工藝、 大型設備運行方式、季節等因家影響;商業主要受季節 變化、氣溫變化、節假日、空調擁有率等因素影響;賓 館飯店主要受旅遊季節分布、空調擁有率等因素影響; 居民生活主要受季節變化、氣溫變化、收人水平、空調、 電炊擁有率等因素影響。
反映指標
反映日負荷曲線特性的指標主要有日負荷率、日 最小負荷率、日峰谷差和日峰谷差率。日負荷率為日平均負荷與日最大負荷之比的百分數,日最小負荷率為日最小負荷與日最大負荷之比的百分數,日峰谷差為日最大負荷與日最小負荷之差,日峰谷差率為日峰谷 差與日最大負荷之比的百分數。 連續性用電的行業,如冶金工業(電解鋁、鐵合金 等)、石油工業、化學工業等,一日內負荷變化較小,日 負荷率較高,一般可達90%左右,日最小負荷率與日 負荷率較為接近。第三產業和居民生活用電由於受作息時間的影響,日負荷率和日最小負荷率均較小。農業 用電由於受季節影響,一年內變化較大,排灌季節日負荷率較高,而非排灌季節日負荷率很低。 中國1996年以前由於存在大量拉閘限電現象,日負荷曲線較為平坦,日負荷率較高。隨著電力供需矛盾的緩解以及第三產業、居民生活用電比重的不斷增加, 日負荷率呈現下降趨勢。加強需求側管理,可以扭轉這種下降趨勢,甚至可以提高日負荷率。
預測方法
對下一日24小時電力負荷的預報。它是電力系統調度賴以安排日調度計畫,決定開停機計畫、經濟分配負荷及安排鏇轉備用容量的基礎。日負荷曲線預測的精確性直接影響電力系統運行的經濟效益。日負荷曲線的變化是有規律的,例如同年同月中各日曲線形狀接近,不同年份相同月份的典型日負荷曲線形狀相似日負荷率V}口最小負荷率U等特徵參數可以反映曲線的特點與形狀,並且均與社會用電結構、各部門分用電制有著密切的關係例如系統中第二產業比重大,則VU值較高,反之則VU值低根據這一特點,並考慮到我國力部門對歷史資料的積累情況,本文提出了一種新的日負荷曲線預測方法該方法將預測過程分解為兩步,第1步基於用電結構分析進行特徵參數預測,第2步以特徵參數及基準負荷曲線為依據進行曲線預測。本文據此建立了物理意義明確、表達方式簡捷的數學模型,並針對問題的特點,提出了快速有效的算法該方法已套用於東北電網負荷預測軟體,取得了良好的效果.
電力系統負荷曲線的變化規律表現為一個非平穩的隨機過程。如果以 1小時為間隔對它進行離散化的測量,則可得到一個隨機的時間序列。由於人們的生產及生活安排等社會因素及自然季節性的影響,使負荷曲線的變化呈現出一定的周期性。從不同的時間觀察,可認為負荷曲線的變化具有一天、一周、一月以至一年的變化周期。日負荷曲線的預測應充分利用這種變化周期性的特點。
日負荷曲線的預測方法主要有多重相關算法、時間序列法和諧波分解法。但這幾種方法都沒有計及氣象條件的影響,而負荷與氣象條件有密切的關係。更精確的負荷預測必須考慮氣象因素,建立氣象負荷模型或根據氣象條件對負荷模型進行必要的修正,從而獲得比較切合實際的日負荷曲線預測。
多重相關算法
從負荷樣本數據(即負荷曲線的歷史數據)找出電力系統負荷在各個周期的相關性,構造多個預測模型,一般為一階線性模型。由各個模型得到的預測值及其方差再進行最優組合,得到一個加權平均值。根據線性估計理論,權重應與各自的方差成反比,加權平均值的方差的倒數等於各個方差倒數之和。節假日則需特殊考慮,捨去相應的一個模型的預測值。
時間序列法
把負荷的樣本數據按時間順序組成序列。根據此序列的自相關函式和偏自相關函式的截尾性能來建立自回歸模型、滑動平均模型或自回歸滑動平均模型。在預測方法上可採用條件期望預測、平衡線性最小方差預測或新息法自適應預測等。
諧波分解法
利用負荷曲線變化的周期性,用諧波分析的方法求出預測值。
基準確定
在以往的電力系統規劃中,通常僅由人工編制各水平年的冬、夏季典型日負荷曲線但隨著1995年5月1日起我國實行五天工作制,體息日數目增多,且其特徵與正常工作日差別較大,因此對它的分析已經不能忽視本文按每月一條典型工作日和體息日曲線加以研究,並可以單獨考慮元旦、春節、五一、十一等典型節假日。各月代表日的選取應排除拉閘限電、事故等不正常因素的影響,儘量接近實際情%}'也可以對歷史上各年該月的典型曲線作綜合分析比較,例如進行加權綜合(近期的曲線應占較大的權重),確定該月的代表曲線各典型日數據採取如下分析方法
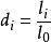
令T= 24(表示時段數),設待分析日的負荷數據為l(i= 1 2…、T),當天最大負荷為l以l對1,進行標么化,得當日負荷曲線di;(i= 1 2…、T),則成立如下關係式:
日負荷曲線
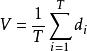
日負荷曲線當日的特徵參數計算如下:
日負荷曲線
日負荷曲線
