斯特潘-玻爾茲曼常數
δ=5.67032×10 W/(m ·K )
實際套用公式
公式其中:
L表示黑體的絕對光度;
r表示觀測點對應被觀測黑體的距離;
S表示黑體常數
經典公式
斯特潘-波爾茲曼定律T為黑體的絕對溫度,δ為斯特潘–波爾茲曼常數,
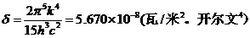
斯特潘-波爾茲曼定律其中,K為波爾茲曼常數,h為普朗克常數,c為光速。
δ=5.67032×10 W/(m·K)
δ=5.67032×10 W/(m ·K )
公式其中:
L表示黑體的絕對光度;
r表示觀測點對應被觀測黑體的距離;
S表示黑體常數
斯特潘-波爾茲曼定律T為黑體的絕對溫度,δ為斯特潘–波爾茲曼常數,
斯特潘-波爾茲曼定律其中,K為波爾茲曼常數,h為普朗克常數,c為光速。
