斯托爾茨著名的定理
斯托爾茨
斯托爾茨
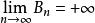
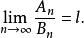
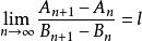
斯托爾茨設有數列,單調遞增且有.
斯托爾茨
斯托爾茨
斯托爾茨若(為有限量或)
斯托爾茨則
斯托爾茨(Stolz),1842-1905,德國數學家,主要研究解析學,數學分析。他證明了每一個無理數可用無限不循環小數表示,並可以此作為無理數的定義;他是容度概念的早期研究者之一;他擴充了區間概念的含義,以適用於二維或高維空間,著有《算術代數教程》。
斯托爾茨著名的定理
斯托爾茨
斯托爾茨
斯托爾茨設有數列,單調遞增且有.
斯托爾茨
斯托爾茨
斯托爾茨若(為有限量或)
斯托爾茨則
羅伯特·斯托爾茨是一名瑞典足球運動員,場上位置是後衛。
基本資料 球隊陣容亞歷山大·施托爾茨(Alexander Stolz),德國足球運動員,司職守門員,目前效力於德甲的霍芬海姆足球俱樂部。
運動生涯 個人生活 生涯數據D·斯托爾茨,德國,足球運動員。
基本資料 球隊陣容格奧爾基·阿波斯托爾(Gheorghe Apostol,1913年5月16日,圖多爾·弗拉迪米雷斯庫—2010年8月21日,布加勒斯特),前羅馬尼亞社會...
人物傳記 晚年 榮譽布里斯托城足球俱樂部(Bristol City Football Club)是位於英格蘭西南部單一管理區(Unitary authority)布里斯托...
球隊簡介 球隊近況 敵對球隊 球隊陣容 大事紀年姓名:尤利安·阿波斯托爾 生日:1980-12-03 場上位置:前鋒 身高:174厘米 體重:64公斤 慣用腳:右腳 出生地:加拉茨(羅馬尼亞) 國籍:...
個人簡介 職業生涯 轉會記錄英國布里斯托大學成立於1876年。1909年獲得皇家特許狀。布里斯托是一個真正國際性的大學,國際學生現占16%。 這些學生來自100多個國家,在大學...
基本情況 學術實力 學校設施 學生生活 學習課程斯托爾切斯,男,拉脫維亞足球運動員。效力里加奧林匹亞俱樂部。
個人簡介 職業生涯尤利安·阿波斯托爾,1980-12-03出生,羅馬尼亞國籍,是一名前鋒,現效力布加勒斯特快速足球俱樂部
個人簡介 職業生涯 轉會記錄