簡介
由於測量的偶然誤差以及被研究的物理現象本身的隨機性質,實驗觀測數據是由帶有偶然性的一些隨機數據組成的。實驗數據處理的任務是,由測得的有限個隨機數據(觀測值隨機變數的一個樣本),推斷被測定物理量的數值,或物理量之間的函式關係或被研究的物理現象的其他規律性。數據處理必須套用以隨機量為研究對象的統計數學方法,主要是機率論、數理統計學和隨機過程理論的數學方法。在粒子物理實驗中,由於物理現象本身固有的隨機性質很突出,物理現象的規律性往往被所測數據表面上的偶然性所掩蓋,所以選擇適當的統計方法進行數據處理就更為重要。數據處理中最常用的統計方法有參量估計、假設檢驗、擬合以及蒙特-卡羅模擬等。
參量估計
數據的統計處理方法
數據的統計處理方法
數據的統計處理方法
數據的統計處理方法
數據的統計處理方法被測定的物理量常常是觀測值所服從的統計分布中的參量。例如,穩定粒子的壽命是其生存時間觀測值所服從的指數分布中的參量,共振態的質量和壽命是其衰變產物系統不變質量所服從的布賴特-維格納(Breit-Wigner)分布中的參量。由觀測數據推斷物理量的數值,需要套用數理統計學中的參量估計方法。
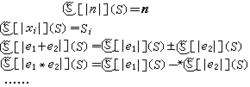
最大似然法是估計分布參量值的一個最常用的方法。若觀測值服從機率密度函式為(;)的一個統計分布,分布參量為待測定的物理量,進行次獨立測量得到一組觀測值、、…、,似然函式
估計值的誤差用一定置信水平下的置信區間表示(見實驗數據的誤差處理)。置信區間可根據估計值的分布性質用區間估計的方法定出,利用參量估計的置信分布方法,可以得到被估物理量的一個完整的機率推斷,即該物理量的置信分布。通常的測量誤差處理是參量估計的一個特殊情況:觀測值服從常態分配,被測物理量的真值是觀測值常態分配的期待值,其最大似然估計值是觀測值的算術平均值,平均值左右一倍標準誤差區間的置信水平為68.3%。
在被測物理量是一個隨機變數,並且已知它的機率分布()(驗前分布)的情況下,利用貝葉斯公式可以從觀測值、、…、得出關於被測物理量數值的一個更精密的推斷,即該物理量的驗後分布,參量的驗後分布的機率密度為
任意區間【,】的置信水平為
。
數據的統計處理方法
數據的統計處理方法
數據的統計處理方法
數據的統計處理方法
數據的統計處理方法最常用的擬合方法是最小二乘法,在各觀測值彼此獨立且的測量誤差可以忽略的情況下,最小二乘法選擇使各觀測點殘差(的觀測值與理論值之差)的“加權平方和最小”的參量值╦ 作為參數的估計值,即
其中σ崿為觀測值壟的方差。
最小二乘法可用於解決物理實驗中各種經驗公式的實驗曲線的建立問題(如粒子物理實驗中粒子徑跡的重建)。
假設檢驗 參量估計和擬合方法用於由實驗數據估計觀測值統計分布中或被觀測量間函式關係中的待定參量。但是,觀測值所服從的統計分布或被觀測量間函式關係的理論公式常常只是一種統計假設;這種假設是否能套用於實驗的具體情況,是否同觀測結果有顯著的矛盾,需要用觀測數據予以檢驗。實驗中需要檢驗的統計假設還可以是關於觀測值統計分布參量數值的某種斷言,假設檢驗方法常用於判斷實驗條件(例如儀器指標)是否正常,是否存在明顯的系統誤差,或者實驗結果中是否包含著觀測值的統計分布或被觀測量間函式關係的理論假設中所沒有考慮到的新現象。假設檢驗方法還可用於從兩種理論假設中挑選一個最可能的假設,例如從不同粒子的混合束中,根據測得的數據有效地挑選出某種需要的粒子。
假設檢驗的一般方法,是選擇一個觀測數據的函式(),叫做檢驗統計量,的數值表現了理論假設同實測數據的差異,而且在理論假設成立的條件下的統計分布已知,則如果由測得數據算出的值落入了表明與理論假設差異很大的某個區域之內(即在理論假設成立的條件下由的統計分布算得值落入該區域內的機率──顯著水平──很小),就表明觀測數據同理論假設存在顯著的矛盾。
在實際問題中,應當根據具體情況選擇適當的檢驗統計量。
數據的統計處理方法一個廣泛使用的檢驗統計量是皮爾孫 (Pearson)量,其定義為
式中為落入區間中觀測值的個數,為區間中觀測值個數的理論預期值。顯然,值的大小表現了實驗數據與理論值差異的大小;同時,如果理論假設是正確的,則量漸近地服從一個已知的分布,可以利用分布對差異的大小作出定量的機率估計。
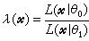
在觀測值統計分布中的參量只有兩個可能值和的情況下,對於由觀測值判斷參量是否為特定值的參量檢驗問題,似然比是一個很有用的檢驗統計量,似然比的定義為。
數據的統計處理方法蒙特-卡羅模擬 見蒙特-卡羅法。
