理論依據
(1)不等式的傳遞性:如果A>C,C>B,那么A>B;
(2)等量加不等量為不等量;
(3)同分子(母)異分母(子)的兩個分式大小的比較。
放縮法是貫穿證明不等式始終的指導變形方向的一種思考方法 。
常見技巧
(1)舍掉(或加進)一些項。
(2)在分式中放大或縮小分子或分母。
(3)套用基本不等式放縮(例如均值不等式)。
(4)套用函式的單調性進行放縮。
(5)根據題目條件進行放縮。
(6)構造等比數列進行放縮。
(7)構造裂項條件進行放縮。
(8)利用函式切線、割線逼近進行放縮。
(9)利用裂項法進行放縮。
(10)利用錯位相減法進行放縮。
注意事項
(1)放縮的方向要一致。
(2)放與縮要適度。
(3)很多時候只對數列的一部分進行放縮法,保留一些項不變(多為前幾項或後幾項)。
(4)用放縮法證明極其簡單,然而,用放縮法證不等式,技巧性極強,稍有不慎,則會出現放縮失當的現象。所以對放縮法,只需要了解,不宜深入。
套用
對一個式子進行估值
放縮法例:求的整數部分。
放縮法解:設原來的式子為S。那么,故S的值介於90和90.95之間,顯然其整數部分為90.
放縮法例:已知A=12345678910111213,B=312111123456789,求的小數點後前三位數字。
放縮法解:因為,所以其小數點後前三位數字是395.
構造不等式
放縮法例:求證:
放縮法解:,故得證。
【注】該題的證明過程是將原式的第二項開始放大,實際上,若從原式的第三項、第四項……開始放大,可以得到更精確的結果。
例:求使得m²+m+7是完全平方數的所有正整數m的值。
放縮法
放縮法解:因為(依據條件,為正整數)
放縮法
放縮法如果有,那么便肯定不為完全平方數,因為兩個相鄰數的完全平方數之間沒有其他完全平方數。
放縮法
放縮法所以,可能的條件必須為
放縮法解得
放縮法
放縮法然後一一查證得知,和符合條件。
放縮法
放縮法
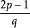
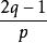
放縮法例:已知p、q、、都是非負整數,且p>1,q>1,求p+q的值。
放縮法
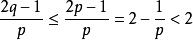
放縮法解:不妨設p≥q。則,故=1或0.
放縮法當=0時,q=0.5,舍。
放縮法當=1時,2q-1=p。
放縮法
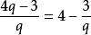
放縮法將2q-1=p代入得為非負整數,
又q>1,故q=3,p=2×3-1=5,那么p+q=5+3=8.
總結
放縮法是一種有意識地對相關的數或者式子的取值進行放大或縮小的方法。如果能夠靈活掌握運用這種方法,對比較大小、不等式的證明等部分數學試題的解題能起到撥雲見日的效果,尤其針對競賽問題,是一種解決問題的很好方法,所謂放縮法就是利用不等式的傳遞性,對照證題目標進行合情合理的放大和縮小的過程,在使用放縮法證題時要注意放和縮的"度",否則就不能同向傳遞了,此法既可以單獨用來證明不等式,也可以是其他方法證題時的一個重要步驟 。

