乙類推挽功率放大器
電路及其工作原理
圖1 乙類推挽功率放大器及其波形典型電路如圖1所示。
V、V為功率放大管,組成對管結構。在信號一個周期內,輪流導電,工作在互補狀態。T為輸入變壓器,作用是對輸入信號進行倒相,產生兩個大小相等、極性相反的信號電壓,分別激勵V和V。T為輸出變壓器,作用是將V、V輸出信號合成完整的正弦波。
圖2 乙類推挽功放電路的圖解分析工作原理:輸入信號 v經T耦合,次級得兩個大小相等、極性相反的信號。在信號正半周,V導通(V截止),集電極電流 i經T耦合,負載上得到電流 i正半周;在信號負半周,V導通(V截止),集電極電流 i經T耦合,負載上得到電流 i負半周。即經T合成,負載上得一個放大後的完整波形 i。
由輸出電流 i波形可見,正、負半周交接處出現了失真,這是由於兩管交接導通過程中,基極信號幅值小於門檻電壓時管子截止造成的。故稱為交越失真。
輸出功率和效率
由於兩管特性相同,工作在互補狀態,因此圖解分析時,常將兩管輸出特性曲線相互倒置,如圖2所示。
(1).作直流負載線,求靜態工作點。
靜態時,管子截止 I= 0,當 I很小時, I » 0。過點 V作 v軸垂線,得直流負載線。它與作 I= 0特性曲線的交點 Q,即為靜態工作點。
(2).作交流負載線,畫交流電壓和電流幅值。
過點 Q作斜率為 -1/ R‘ 的直線 AB,即交流負載線。其中 R’為單管等效交流負載電阻。在不失真情況下,功率管V、V最大交流電流 i、 i和交流電壓 v、 v波形如圖所示。
電路最大輸出功率
若忽略管子 V,交流電壓和交流電流幅值分別為
推挽功率放大器(1)
推挽功率放大器則最大輸出功率
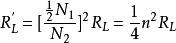
即(2)
式中,在輸出變壓器的初級匝數為 N,次級匝數為 N時, R'應為
推挽功率放大器(3)
式中 n = N/ N。
效率
理想最大效率為 h= 78%。若考慮輸出變壓器的效率 h,則乙類推挽功放的總效率為
h'= h h (4)
總效率約為60%,比單管甲類功放的效率高。
電路優點:總效率高。電路缺點:存在交越失真,頻率特性不好。
甲乙類推挽功率放大器
如圖3所示。圖中, R、 R、 R組成分壓式電流負反饋偏置電路。靜態時,V、V處於微導通狀態,從而避免了交越失真。由於靜態工作點處於甲、乙類之間,所以叫作甲乙類推挽功率放大器。

