推廣的休克爾分子軌道法
正文
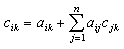
休克爾分子軌道法 (HMO)在討論有機共軛分子的結構與性質方面取得了相當大的成功,然而,HMO只局限於處理分子中非定域化的π電子,沒有考慮σ電子,因此即使對有機化合物也不能普遍套用。1963年R.霍夫曼推廣了HMO,考慮分子中的全部價電子,對哈密頓算符的矩陣元適當地進行近似處理和參數化,這些參數由實驗數據確定,進而求解久期方程。這種方法稱為推廣的休克爾分子軌道法,簡稱EHMO。EHMO取分子中各個原子的斯萊特型價原子軌道作為基函式,而把分子軌道ψj寫為n個價原子軌道φμ的線性組合:
(1)
(2)



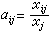
在EHMO方法中,假設單電子哈密頓算符的對角元Hμμ等於所涉及的原子軌道φμ的價態電離能Wμ的負值,它可以由光譜實驗數據確定;非對角元Hvμ通常用下面的經驗公式由對角元計算:

EHMO不僅用於有機分子的量子化學研究,而且還廣泛用於無機分子、絡合物、原子簇,以至於晶體的電子結構研究。它的優點在於簡便易行,套用面廣,提供分子電子結構的圖景。儘管它不夠十分嚴密,但討論類似分子相互比較的問題還是一個有力的工具。

